拟合数据的多种方法

论文复现读评

OLS
Paper Reading
作者

胡华平

发布于

2025年9月22日

修改于

2025年9月22日

摘要
为了更好地理解拟合数据的多种方法,本文对论文《Locating Hyperplanes to Fitting Set of Points: A General Framework》进行了代码复现和观点读评。
注记论文信息

复现论文:Blanco, V., J. Puerto, and R. Salmerón. Locating Hyperplanes to Fitting Set of Points: A General Framework[J]. Computers & Operations Research, 2018, 95:172-193. html版本浏览;pdf版本下载

  • 论文早前版本发表在arXivhttps://arxiv.org/abs/1505.03451v2:Blanco, V., J. Puerto, and R. Salmerón. A General Framework for Locating Hyperplanes to Fitting Set of Points, arXiv:1505.03451v2 [math.ST].

作者使用R语言实现了论文中的方法,但并没有提供R代码和数据。

观点读评

普通最小二乘法(OLS)是经典计量经济学中最常用的拟合方法,它通过最小化残差平方和\(\Phi=\sum_{i=1}^{n} \varepsilon_{i}^{2}=\sum_{i=1}^{n} (y_i - \hat{y}_i)^{2}\)来拟合数据。

这种数据拟合方法有三个核心要点:

  • 残差\(\varepsilon_i = y_i - \hat{y}_i\)的度量方式表现为“铅垂线距离”,即垂直距离。
  • 残差的距离度量是否进行了加权处理\(\lambda_i\),OLS没有进行任何加权处理。
  • 最小化算子\(\Phi\)的选择决定了拟合方法的具体形式,OLS选择的是残差平方和(二次方形式)。

实际上我们熟悉的样本回归线(sample regression curve)可以是任意其他一种基于距离测度(distance measure,也即残差)的方法拟合得到的。例如,最小绝对偏差(LAD)方法,最小二乘分位数(LQS)方法,最小截尾平方和(LTS)方法等。当然,也可以考虑其他形式的距离测度,例如,L1距离(绝对值距离)、L2距离(欧氏距离)、L3距离(切比雪夫距离)等。

Blanco等(2018)提出的方法是一个通用框架,它将这些方法统一到一个框架中,并给出了一个统一的数学表达式。这对于我们学习OLS方法和理解其他方法的原理和适用性具有重要意义。此外,论文基于两个案例数据的实证分析,展示了该方法的适用性。

当然,我们还要进一步思考如下问题:

  • 是不是只需要考虑把数据集进行足够好的拟合就可以了?“足够好的拟合”的标准是什么?
  • 为了更好地推断总体参数,上述提到的各种各样的拟合方法,哪种方法会更好?

论文摘要

论文提出了一类用于相对于给定点集定位/拟合超平面的方法族。作者基于有序加权算子(ordered weighted operators)提出了一个以距离型残差为基础的通用聚合框架。文献中最常见的方法(如最小二乘、最小绝对偏差、最小平方分位数、最小截尾平方和等)都可以作为该框架中误差度量与聚合准则的特例统一表示。本文为这些方法给出了统一的数学生成式,并分析了若干重要情形。最一般的设定将导致混合整数非线性规划问题。针对这类问题,作者提出了内外层线性逼近以获得可行的求解流程。此外,作者还提出了一个新的拟合优度指标,它推广了经典的判定系数\(R^2\),能够用于比较不同拟合超平面。最后,给出了若干示例以及基于R语言的大量计算实验,以展示所提方法的适用性。

通用框架下的超平面定位方法

给定一个在 (d+1) 维空间中的 n 个观测点或需求点(分别使用数据分析或位置分析的术语)的集合,\(\left\{x_{1}, \ldots, x_{n}\right\} \subset\{1\} \times \mathbb{R}^{d}\)(为更清晰地描述模型,我们将假设 \(x_{i}\) 的第一个,即第 0 个分量是用于截距的,即 \(x_{10}=\cdots=x_{n 0}=1\))。接下来,我们分析定位一个线性形式(超平面)以拟合这些点的问题,该过程最小化不同形式的残差测量及其聚合。对于任何 \(y \in \mathbb{R}^{d+1}\),我们应将 \(y_{-0}\) 表示为 \(\left(y_{1}, \ldots, y_{d}\right)\),即 y 的后 d 个坐标(不包括第一个)。首先,我们假设点到超平面的偏差由一个残差映射 \(\varepsilon_{x}: \mathbb{R}^{d+1} \rightarrow \mathbb{R}_{+}\) 建模,即 \(\varepsilon_{x}(\boldsymbol{\beta})=\mathrm{D}\left(x_{-0}, \mathcal{H}(\boldsymbol{\beta})\right)\),其中 D 是 \(\mathbb{R}^{d}\) 中的一个距离度量。这个残差表示点(观测值)\(x \in \mathbb{R}^{d+1}\) 相对于超平面 \(\mathcal{H}(\boldsymbol{\beta})=\left\{y \in \mathbb{R}^{d}:\left(1, y^{t}\right) \boldsymbol{\beta}=0\right\}\) 的“距离”。有时,为简洁起见,我们会将超平面写为 \(\boldsymbol{\beta}^{t} X=0\),其中 \(\boldsymbol{\beta}=\left(\beta_{0}, \beta_{1}, \ldots, \beta_{d}\right)^{t} \in \mathbb{R}^{d+1}\)。此外,为简化表示,在不会引起混淆的情况下,我们将点 \(x_{i}\) 的残差称为 \(\varepsilon_{i}\)

通过使用残差的聚合函数 \(\Phi: \mathbb{R}^{n} \rightarrow \mathbb{R}\),可以获得整个数据集相对于由 \(\boldsymbol{\beta}\) 导出的超平面的总体偏差度量。在这种设置下,我们试图最小化这样一个聚合函数,而拟合超平面问题(FHP)就在于找到 \(\hat{\boldsymbol{\beta}} \in \mathbb{R}^{d+1}\) 使得: \[ \begin{equation*} \hat{\boldsymbol{\beta}} \in \arg \min _{\boldsymbol{\beta} \in \mathbb{R}^{d+1}} \Phi(\boldsymbol{\varepsilon}(\boldsymbol{\beta})), \tag{1} \end{equation*} \]

其中 \(\boldsymbol{\varepsilon}(\boldsymbol{\beta})=\left(\varepsilon_{1}(\boldsymbol{\beta}), \ldots, \varepsilon_{n}(\boldsymbol{\beta})\right)^{t}\) 是残差向量。

请注意,解决问题 (1) 的难度取决于残差的表达式和聚合标准 \(\Phi\)。如果 \(\Phi\)\(\varepsilon_{X}\) 是线性的,则上述问题变成一个线性规划问题。在本文中,我们考虑了一个通用的聚合标准族,它包括了文献中大多数经典标准作为特例 (Bertsimas and Mazumder, 2014; Giloni and Padberg, 2002; Rousseeuw and Leroy, 2003; Yager and Beliakov, 2010)。

\(\lambda_{1}, \ldots, \lambda_{n} \in \mathbb{R}\) 且令 \(\boldsymbol{\varepsilon} \in \mathbb{R}^{n}\) 为给定数据集中所有点的残差向量。我们考虑聚合标准 \(\Phi: \mathbb{R}^{n} \rightarrow \mathbb{R}_{+}\) 定义为: \(\Phi(\boldsymbol{\varepsilon})=\sum_{i=1}^{n} \lambda_{i} \boldsymbol{\varepsilon}_{(i)}^{p}, \quad 1 \leq p<+\infty\), 其中 \(\boldsymbol{\varepsilon}_{(i)} \in\left\{\boldsymbol{\varepsilon}_{1}, \ldots, \boldsymbol{\varepsilon}_{n}\right\}\) 满足 \(\boldsymbol{\varepsilon}_{(1)} \leq \cdots \leq \boldsymbol{\varepsilon}_{(n)}\)。可以观察到,这个算子定义了一个多参数族(称为有序中值函数 (Nickel and Puerto, 2005)),根据 \(\lambda\) 权重的选择,可以捕捉文献中提出的许多模型。

大多数经典模型假设残差被定义为点到超平面的垂直距离(相对于最后一个坐标): \(\boldsymbol{\varepsilon}_{x}(\boldsymbol{\beta})=\left|x_{d}-\sum_{k=0}^{d-1} \frac{\beta_{k}}{\beta_{d}} x_{k}\right|\), (假设 \(\beta_{d} \neq 0\))。 因此,它们之间的区别来自于聚合标准 \(\Phi\) 的选择。我们下面展示一些经典方法如何适应我们的框架。

  1. 最小二乘和(LSS)方法,归功于高斯(1809),是估计线性模型系数最广泛使用的方法,因其简单性(可以获得最优系数的封闭形式解)及其对总体推断的理论意义。然而,应用它需要一些限制性假设(参见,例如,Giloni and Padberg, 2002)。LSS 标准定义为残差的平方和,即:\(\Phi_{L S S}\left(\boldsymbol{\varepsilon}_{1}, \ldots, \boldsymbol{\varepsilon}_{n}\right)=\sum_{i=1}^{n} \boldsymbol{\varepsilon}_{i}^{2}\),其中残差 \(\boldsymbol{\varepsilon}_{k}\) 由 (3) 给出。读者可能会注意到,LSS 对应于问题 (1) 中 \(\lambda^{t}=(1, \ldots, 1), p=2\)\(\boldsymbol{\varepsilon}\) 为垂直距离的情况。

  2. 最小绝对偏差(LAD)方法(由 Edgeworth, 1887 引入)在于最小化垂直残差绝对值的总和。因此,\(\Phi_{L A D}\left(\boldsymbol{\varepsilon}_{1}, \ldots, \boldsymbol{\varepsilon}_{n}\right)=\sum_{i=1}^{n}\left|\boldsymbol{\varepsilon}_{i}\right|\)。注意 LAD 对应于 (1) 中 \(\lambda^{t}=(1, \ldots, 1)\)\(p=1\) 的模型。

  3. 最小二乘分位数(LQS),最近由 Bertsimas and Mazumder (2014) 引入,是 Hampel (1975) 引入的最小二乘中位数(LMS)的推广。它也考虑垂直距离作为残差,但它们被聚合以最小化其分布的 r-分位数(r 的范围是 \(\{1, \ldots, n\}\))。因此,\(\Phi_{L Q S}\left(\boldsymbol{\varepsilon}_{1}, \ldots, \boldsymbol{\varepsilon}_{n}\right)=r-\) quantile \(\left(\boldsymbol{\varepsilon}_{1}^{2}, \ldots, \boldsymbol{\varepsilon}_{n}^{2}\right):=\boldsymbol{\varepsilon}_{(r)}^{2}\)。该方法也符合本文考虑的聚合标准的一般形式。在这种情况下,遵循 (2) 中引入的符号,LQS 超平面可以在 \(p=2\)\(\lambda=(\overbrace{0, \ldots, 0}^{(r-1)}, 1, \overbrace{0, \ldots, 0}^{(n-r)})\) 时获得。(观察到 LMS 超平面在 \(p=2\)\(\lambda=(\overbrace{0, \ldots, 0}^{\left\lfloor\frac{n}{2}\right\rfloor}, 1, \overbrace{0, \ldots, 0}^{\left\lfloor\frac{n}{2}\right\rfloor})\) 时也在同一框架下获得)。

  4. 最小截尾二乘和(LTS)方法由 Rousseeuw (1984) 引入,作为 LSS 方法的一种稳健替代方法,因为它具有高崩溃点。回想一下,直观地说,一个估计量的崩溃点是该估计量在给出不正确(例如,任意大)结果之前可以处理的不正确观测值(例如,任意大的观测值)的比例。用我们的符号表示,它对应于再次选择垂直距离作为残差,\(p=2\),聚合标准为 \(\Phi_{L T S}\left(\boldsymbol{\varepsilon}_{1}, \ldots, \boldsymbol{\varepsilon}_{n}\right)=\sum_{i=1}^{h} \boldsymbol{\varepsilon}_{(i)}^{2}\),其中 \(\boldsymbol{\varepsilon}_{(i)} \in\left\{\boldsymbol{\varepsilon}_{1}, \ldots, \boldsymbol{\varepsilon}_{n}\right\}\) 且对于 \(i=1, \ldots, n-1\)\(\boldsymbol{\varepsilon}_{(i)} \leq \boldsymbol{\varepsilon}_{(i+1)}\),以及 \(h \in\{1, \ldots, n\}\)。h 最常见的选择是 \(\left\lfloor\frac{n}{2}\right\rfloor\),即考虑最好的 50% 的平方残差。

星系数据双变量拟合案例

在图 1 中,我们展示了在星系数据集上使用经典方法获得的最佳拟合线。数据集由 \(\mathbb{R}^{2}\) 中的 47 个点组成,这些点对应于天鹅座 (Humphreys, 1978) 中天鹅座 OB1 星团的星星。第一个坐标,\(X_{1}\),是恒星表面有效温度的对数,第二个坐标,\(X_{2}\),是恒星光强度的对数。该数据集也在 Rousseeuw and Leroy (2003) 和 Yager and Beliakov (2010) 中进行了分析,以及其他一些研究。我们运行了 LSS、LAD、LMS 和 \(\operatorname{LTS}(\alpha)\),其中 \(\alpha \in\{50,75,90\}\)。获得的线和拟合优度指标 \(\left(\mathrm{GoF}_{\Phi, \varepsilon}\right)\) 如图 1 所示。读者可能会注意到,LSS 和 LAD 模型无法充分拟合数据,而其他模型(尽管有些相似)显示出对异常值的更好表现。请注意,GoF 也反映了这一点,尽管不清楚 LTS(75)(具有最大 GoF 的模型)是否优于其他模型。

图 1: (原图1). 星系数据集上使用经典方法获得的最佳拟合线。

德斌-沃森数据拟合案例

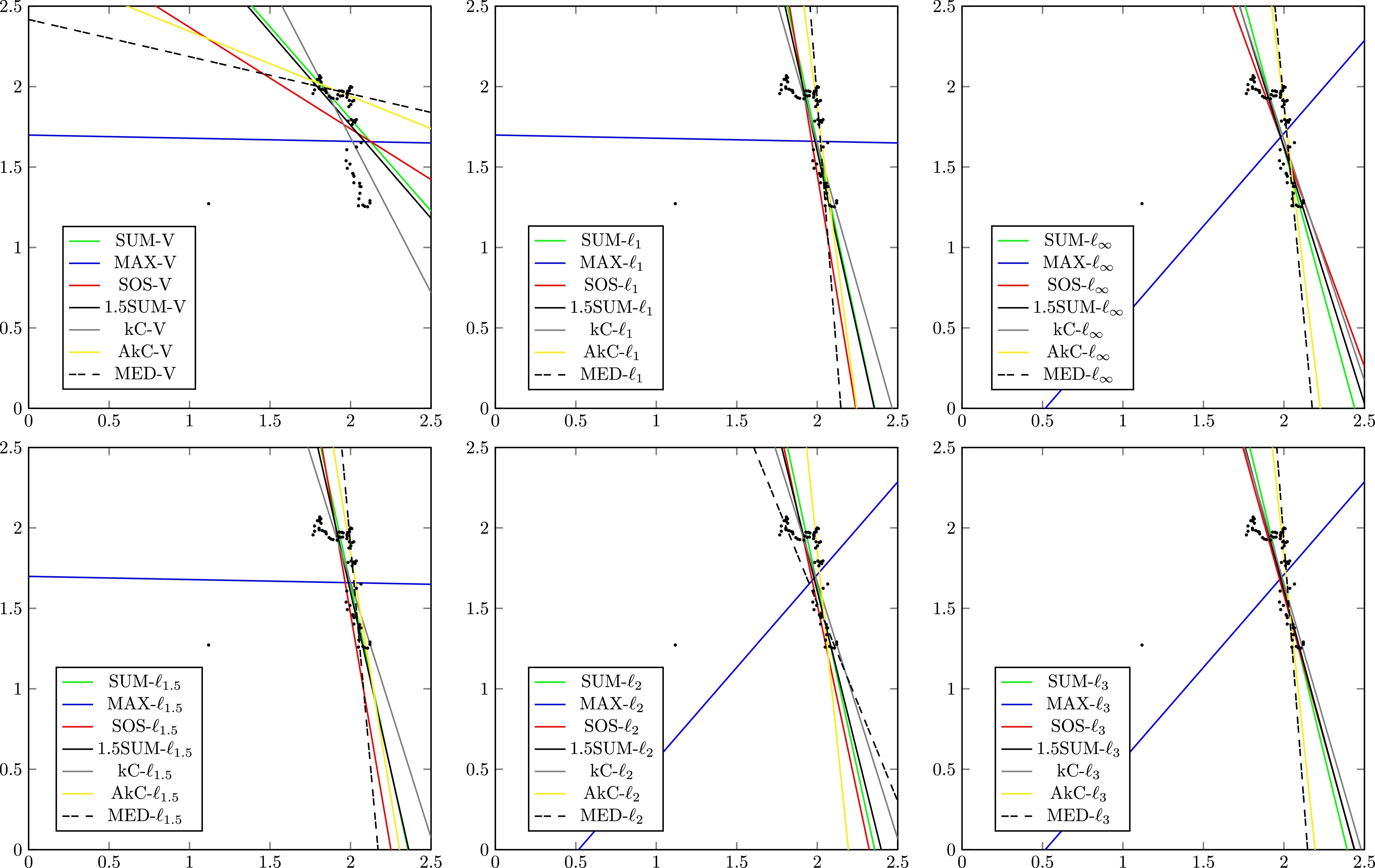
我们还对 Durbin and Watson (1951) 使用的经典真实数据样本进行了一些实验。该数据旨在根据收入和烈酒的相对价格(经生活成本指数平减)来分析 1870 年至 1938 年(\(n=69\))的年度烈酒消费量。因此,该数据集中观察到的变量是以下度量的对数(系数因此被解释为百分比变化):\(X_{1}\)(人均实际收入),\(X_{2}\)(烈酒的相对价格)和 \(X_{3}\)(人均烈酒消费量)。

为了说明目的,我们既分析了包含三个变量的全局模型(\(d=3\)),也分析了仅考虑 \(X_{1}\)\(X_{3}\) 并忽略 \(X_{2}\) 的双变量模型(\(d=2\))。

图 2: (原图6). 德斌-沃森数据的双变量拟合结果。
表 1: (原表4)德斌-沃森数据的双变量拟合结果。
V \(\ell_{1}\) \(\ell_{\infty}\)
SUM (4.0898, -1.1454, -1) (10.8840, -4.6184, -1) (8.9764, -3.6797, -1)
MAX (1.6986, -0.0196, -1) (1.6986, -0.0196, -1) (-0.5963, 1.1530, -1)
SOS (2.9993, -0.6309, -1) (13.5934, -6.0703, -1) (7.0978, -2.7353, -1)
1.5SUM (4.0730, -1.1566, -1) (10.6113, -4.5067, -1) (7.9926, -3.1851, -1)
kC (5.5288, -1.9236, -1) (8.7033, -3.5303, -1) (7.6654, -2.9977, -1)
AkC (2.7467, -0.4031, -1) (17.1272, -7.6311, -1) (18.4349, -8.2833, -1)
MED (2.4167, -0.2310, -1) (28.0156, -13.0469, -1) (23.4462, -10.7748, -1)
\(\ell_{1.5}\) \(\ell_{2}\) \(\ell_{3}\)
SUM (10.8840, -4.6184, -1) (10.8746, -4.6138, -1) (9.8917, -4.1344, -1)
MAX (1.6986, -0.0196, -1) (-0.5963, 1.1530, -1) (-0.5963, 1.1530, -1)
SOS (13.1400, -5.8376, -1) (10.9561, -4.7162, -1) (8.7832, -3.6006, -1)
1.5SUM (10.4466, -4.4233, -1) (9.6868, -4.0399, -1) (8.9821, -3.6851, -1)
kC (8.0130, -3.1750, -1) (8.0455, -3.1914, -1) (8.5389, -3.4427, -1)
AkC (13.9827, -6.0670, -1) (21.0745, -9.6064, -1) (20.6955, -9.4349, -1)
MED (24.0656, -11.0819, -1) (6.4510, -2.4601, -1) (28.0150, -13.0466, -1)