Chapter 17. Endogeneity and Instrumental Variables
Chapter 18. Why Should We Concern SEM ?
Chapter 19. What is the Identification Problem ?
Chapter 20. How to Estimate SEM ?
In order to estimate the structural SEM, two approaches can be adopted:
estimate each equation in SEM one by one, considering only the constraints in that equation
estimate all the equations in the model simultaneously, taking into account all the constraints in the SEM
Instrumental variables are often used to estimate simultaneous equation problems, mainly including three IV techniques for System method :
Three-stage least squares (3SLS):Applicable in a few cases
Generalized moment method( GMM):It is commonly used for dynamic model problems
Full information maximum likelihood( FIML):It has much theoretical value and it brings no advantage over 3SLS, but is much more complicated to compute.
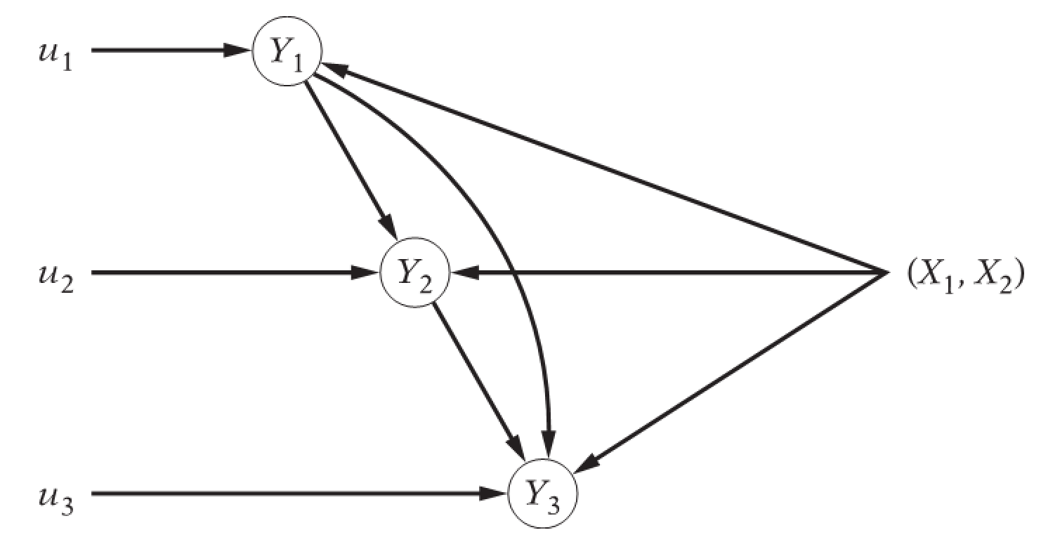
Consider the following SEM:
\[ \begin{cases} \begin{alignedat}{9} & Y_{t1} &-\gamma_{21}Y_{t2}&-\gamma_{31}Y_{t3} & &-\beta_{01}&-\beta_{11}X_{t1} & & &= &u_{t1} \\ & & Y_{t2} &-\gamma_{32} Y_{3t} & & -\beta_{02}&-\beta_{12}X_{1t} &- \beta_{22}X_{2t} & &= &u_{t2}\\ &-\gamma_{13}Y_{t1} & &+ Y_{t3} & & -\beta_{03}&-\beta_{13}X_{1t} &-\beta_{23}X_{2t} & &= &u_{t3} \\ &-\gamma_{14}Y_{t1}&-\gamma_{24}Y_{t2} & &+Y_{t4} &-\beta_{04} & & &-\beta_{34}X_{t3} &= &u_{t4} \end{alignedat} \end{cases} \]
If you focus only on estimating the third equation, we can use the single equation method , which the variables \(Y_2, Y_4, X_3\) were excluded from the estimation.
If you want to estimate all four equations simultaneously, you should use the system method, and it will take into account all the constraints on multiple equations in the system.
In order to use all information of SEM, it is most desirable to apply system method, such as full information maximum likelihood (FIML).
In practice, however, systems method are not commonly used for the following main reasons:
The computational burden is too great.
Systematic methods such as FIML often bring highly nonlinearity on parameters , which are difficult to determine and caculate.
If there is one or more specification error in SEM (eg. an incorrect functional form or missing variables), the error will be passed to the remaining equations. As a result, the system method becomes very sensitive to the specification errors.
Recursive model : also known as the triangle model or causality model.
The simultaneous disturbance terms in different equations are unrelated, and each equation exhibits a one-way causal dependence.
Consider the following structural SEM:
\[ \begin{cases} \begin{alignat}{6} Y_{t1} = & & & & +\beta_{01}& + \beta_{11}X_{t1} & + \beta_{21}X_{t2} & & +u_{t1} \\ Y_{t2} = & + \gamma_{12}Y_{1t} & & &+\beta_{02} & + \beta_{12}X_{t1} & + \beta_{22}X_{t2} & & + u_{t2}\\ Y_{t3} = & + \gamma_{13}Y_{t1}& + \gamma_{23}Y_{t2}& &+\beta_{03} & + \beta_{13}X_{t1} & + \beta_{23}X_{t2} & & + u_{t3} \\ \end{alignat} \end{cases} \]
\[ \begin{cases} \begin{alignat}{6} Y_{t1} = & & & & +\beta_{01}& + \beta_{11}X_{t1} & + \beta_{21}X_{t2} & & +u_{t1} \\ Y_{t2} = & + \gamma_{12}Y_{1t} & & &+\beta_{02} & + \beta_{12}X_{t1} & + \beta_{22}X_{t2} & & + u_{t2}\\ Y_{t3} = & + \gamma_{13}Y_{t1}& + \gamma_{23}Y_{t2}& &+\beta_{03} & + \beta_{13}X_{t1} & + \beta_{23}X_{t2} & & + u_{t3} \\ \end{alignat} \end{cases} \]
It is easy to find that the contemporaneous disturbance terms in different equations are irrelevant (namely zero contemporaneous correlation) :
\[ cov(u_{t1},u_{t2})=cov(u_{t1},u_{t3})=cov(u_{t2},u_{t3})=0 \]
Since the first equation’ right-hand side only contains exogenous variables, and are not correlated with disturbance terms, so this equation satisfies the CLRM and OLS can be applied directly to it.
because \(cov(u_{t1},u_{t2})=0\) , and \(cov(Y_{t1},u_{t2})=0\) . Thus OLS can be applied directly to it.
because \(cov(u_{t1},u_{t3})=0\) , and \(cov(Y_{t1},u_{t3})=0\) . Also \(cov(u_{t1},u_{t3})=0\) , and \(cov(Y_{t2},u_{t3})=0\) . Thus OLS can be applied directly to it.
We can also visualize it graphically:
Let’s look at the wage-price model:
\[ \begin{cases} \begin{align} P_t &= \beta_0+\beta_1UN_t+\beta_2R_t+\beta_3M_t+u_{t2} &&\text{(price equation)}\\ W_t &= \alpha_0+\alpha_1UN_t+\alpha_2P_t+u_{t1} &&\text{(wage equation)} \end{align} \end{cases} \]
Where:
For a just or exactly identified structural equation, the method of obtaining the estimates of the structural coefficients from the OLS estimates of the reduced-form coefficients is known as the method of Indirect Least Squares (ILS), and the estimates thus obtained are known as the indirect least squares estimates.
ILS involves the following three steps:
Step 1. We first obtain the reduced-form SEM.
Step 2. We apply OLS to the reduced-form SEM individually.
Step 3. We obtain estimates of the original structural coefficients from the estimated reduced-form coefficients obtained in Step 2. > If an equation is exactly identified, there is one-to-one mapping between the structural and reduced coefficients.
The variables in the US crop supply and demand case are illustrated below
The data for US crop supply and demand case show here:
So we can construct the following structural SEM:
\[ \begin{cases} \begin{align} Q &= \alpha_0+\alpha_1P_t+\alpha_2X_t+u_{t1} &(\alpha_1<0,\alpha_2>0) &&\text{(demand function)}\\ Q &= \beta_0+\beta_1P_t+u_{t2} &(\beta_1>0) &&\text{(supply function)} \end{align} \end{cases} \]
where: - \(Q=\)Crop yield index; - \(P=\)Agricultural products purchasing prices index; - \(X=\)Capital personal consumption expenditure.
Thus we can obtain the reduced SEM:
\[ \begin{cases} \begin{align} P_t &= \pi_{11}+ \pi_{21}X_t+w_t &&\text{(eq1)}\\ Q_t &= \pi_{12}+\pi_{22}X_t+v_t &&\text{(eq2)} \\ \end{align} \end{cases} \]
and the relationship between structural and reduced coefficients is:
\[ \begin{cases} \begin{align} \pi_{11} &= \frac{\beta_0-\alpha_0}{\alpha_1-\beta_1} \\ \pi_{21} &= - \frac{\alpha_2}{\alpha_1-\beta_1}\\ w_t &= \frac{u_{2t}-u_{t1}}{\alpha_1-\beta_1} \\ \end{align} \end{cases} \]
\[ \begin{cases} \begin{align} \pi_{12} &= \frac{\alpha_1\beta_0-\alpha_0\beta_1}{\alpha_1-\beta_1} \\ \pi_{22} &= - \frac{\alpha_2\beta_1}{\alpha_1-\beta_1} \\ v_t &= \frac{\alpha_1u_{t2}-\beta_1u_{1t}}{\alpha_1-\beta_1} \end{align} \end{cases} \]
For the above reduced SEM, we can use OLS method to obtain the estimated coefficients:
\[ \begin{cases} \begin{align} \widehat{\pi}_{21} &= \frac{\sum{p_t x_t}}{\sum{x^2_t}} &&\text{(slope of the reduced price eq)} \\ \widehat{\pi}_{11} &= \overline{P} - \widehat{\pi}_1 \cdot \overline{X} &&\text{(intercept of the reduced price eq)} \\ \widehat{\pi}_{22} &= \frac{\sum{q_t x_t}}{\sum{x^2_t}} &&\text{(slope of the reduced quantaty eq)} \\ \widehat{\pi}_{12} &= \overline{Q} - \widehat{\pi}_3 \cdot \overline{X} &&\text{(intercept of the reduced quantaty eq)} \end{align} \end{cases} \]
Because we already know that the supply equation in the structural SEM is Just identification (please review the order and rank conditions) , hence the structural coefficients of the supply equation can be calculated uniquely with the reduced coefficients.
\[ \begin{cases} \begin{align} \beta_0 &= \pi_{12}+ \beta_1 \pi_{11} \\ \beta_1 &= \frac{\pi_{22}}{\pi_{21}} \\ \end{align} \end{cases} \]
which is:
\[ \begin{cases} \begin{align} \hat{\beta_0} &= \widehat{\pi}_{12}+ \hat{\beta_1} \widehat{\pi}_{11} \\ \hat{\beta_1} &= \frac{\widehat{\pi}_{22}}{\widehat{\pi}_{21}} \\ \end{align} \end{cases} \]
Next, we carry out OLS regression for the reduced equation.
\[ \begin{cases} \begin{align} P_t &= \pi_{11}+ \pi_{21}X_t+w_t &&\text{(reduced eq1)}\\ Q_t &= \pi_{12}+\pi_{22}X_t+v_t &&\text{(reduced eq2)} \\ \end{align} \end{cases} \]
The regression result of the reduced price equation is:
\[ \begin{alignedat}{999} \begin{split} &\widehat{P}=&&+90.96&&+0.00X_i\\ &(s)&&(4.0517)&&(0.0002)\\ &(t)&&(+22.45)&&(+3.01)\\ &(fit)&&R^2=0.2440&&\bar{R}^2=0.2170\\ &(Ftest)&&F^*=9.04&&p=0.0055 \end{split} \end{alignedat} \]
The regression result of the reduced quantity equation is:
\[ \begin{alignedat}{999} \begin{split} &\widehat{Q}=&&+59.76&&+0.00X_i\\ &(s)&&(1.5600)&&(0.0001)\\ &(t)&&(+38.31)&&(+20.93)\\ &(fit)&&R^2=0.9399&&\bar{R}^2=0.9378\\ &(Ftest)&&F^*=437.95&&p=0.0000 \end{split} \end{alignedat} \]
we can obtain the reduced coefficients:
\(\widehat{\pi}_{21}=\) 0.00074
\(\widehat{\pi}_{11}=\) 90.96007
\(\widehat{\pi}_{22}=\) 0.00197
\(\widehat{\pi}_{12}=\) 59.76183
Because supply equation in structural SEM is Just identification, so the structural coefficients of supply equation can be calculated by using the estimated reduced coefficients.
\(\hat{\beta_1} = \frac{\widehat{\pi}_{22}}{\widehat{\pi}_{12}}\) = 0.00197 / 0.00074 = 2.68052 \(\hat{\beta_0} = \widehat{\pi}_{12}+ \hat{\beta_1} \widehat{\pi}_{11}\) = 59.76183 - 2.68052 \(\cdot\) 90.96007 = -184.05874
Therefore, the ILS estimators of supply equation parameters are:
\(\hat{Q_t}=\) -184.05874 + 2.68052 \(P_t\)
As comparison, we will show a “biased” estimation method, which use OLS directly for both quantity and price equation.
\[ \begin{alignedat}{999} \begin{split} &\widehat{Q}=&&+20.89&&+0.67P_i\\ &(s)&&(23.0396)&&(0.2246)\\ &(t)&&(+0.91)&&(+2.99)\\ &(fit)&&R^2=0.2425&&\bar{R}^2=0.2154\\ &(Ftest)&&F^*=8.96&&p=0.0057 \end{split} \end{alignedat} \]
Consider the following structural SEM:
\[ \begin{cases} \begin{alignat}{6} Y_{t1} = & &+ \gamma_{21}Y_{2t} & & +\beta_{01} & + \beta_{11}X_{t1} & + \beta_{21}X_{t2} & +u_{t1} & \text{ (income eq)} \\ Y_{t2} = & + \gamma_{12}Y_{t1} & & & +\beta_{02} & & & + u_{t2} & \text{ (monetary supply eq)} \end{alignat} \end{cases} \]
where: \(Y_1=\) Income; \(Y_2=\) Monetary stock; \(X_1=\) Government expenditure; \(X_2=\) Government spending on goods and services
Using order condition rules and rank condition rules (Review), we can know:
The Income equation is underidentification
if you don’t change the model specification, then god can’t help you!
The monetary supply equation is overidentification it’s easy to prove that if we apply the ILS approach we will obtain two estimates on \(\gamma_{21}\) . Hence it is impossible to determin the exact value.
Looking for Instrument variables approach to crack the overidentification problems:
Instrument Variable: An agent variable which is highly correlated with \(Y_1\) but have no relationship with \(u_2\) .
But how does one obtain such an instrumental variable?
One answer is provided by the two-stageleast squares (2SLS), developed independently by Henri Theil and Robert Basmann.
2SLS method involves two successive applications of OLS. The process is as follows:
Stage 1. To get rid of the likely correlation between \(Y_1\) and \(u_2\) ,apply regresssion \(Y_1\) on all the predetermined variables in the whole system, not just that equation.
\[ \begin{align} Y_{t1} &= \widehat{\pi}_{01} + \widehat{\pi}_{11} X_{t1} + \widehat{\pi}_{21} X_{t2} + \hat{v}_{t1} \\ &= \hat{Y_{t1} } + \hat{v}_{t1} \\ \hat{Y_{t1} }&= \widehat{\pi}_{01} + \widehat{\pi}_{11} X_{t1} + \widehat{\pi}_{21} X_{t2} \end{align} \]
Indicates that the random \(Y_1\) is composed of two parts:
according to OLS theory, \(\hat {Y}_{t1}\) is not related to \(\hat{v}_{t1}\) (Why?).
stage 2. Now retransform the overidentification supply equation as follow:
\[ \begin{align} Y_{t2} & = \beta_{02} + \gamma_{12} Y_{t1} + u_{t2} \\ & = \beta_{02} + \gamma_{12} (\hat{Y}_{t1}+\hat{v}_{t1}) + u_{t2} \\ & = \beta_{02} + \gamma_{12} \hat{Y}_{t1}+(\gamma_{12} \hat{v}_{t1} + u_{t2} ) \\ & = \beta_{02} + \gamma_{12} \hat{Y}_{t1}+ u_{t2}^{\ast} \end{align} \]
We can prove that:
the variable \(Y_{t1}\) may be relative with the disturbance term \(u_{t2}\) , which will invalid the OLS approach.
Meanwhile, \(\hat{Y_{1t}}\) is uncorrelated with \(u_{t2}^{\ast}\) asymptotically, that is, in the large sample (or more accurately, as the sample size increases indefinitely).
As a result, OLS can be applied to monetary Eq, which will give consistent estimates of the parameters of the monetary supply function.
Note the following features of 2SLS:
It can be applied to an individual equation in the system without directly taking into account any other equation(s) in the system. Hence, for solving econometric models involving a large number of equations, 2SLS offers an economical method.
Unlike ILS, which provides multiple estimates of parameters in the overidentified equations, 2SLS provides only one estimate per parameter.
It is easy to apply because all one needs to know is the total number of exogenous or pre-determined variables in the system without knowing any other variables in the system.
Although specially designed to handle overidentified equations, the method can also be applied to exactly identified equations. But then ILS and 2SLS will give identical estimates. (Why?)
Note the following features of 2SLS (continue):
But this result should not be surprising because if the \(R^2\) value in the first stage is very high, it means that the estimated values of the endogenous variables are very close to their actual values.
And hence the latter are less likely to be correlated with the stochastic disturbances in the original structural SEM. (Why?)
Note the following features of 2SLS (continue):
Hence, the variance of \(u^{\ast}_t\) is not exactly equal to the variance of the original \(u_{2t}\) .
Note the following features of 2SLS (continue):
Henri Theil:
- The statistical justification of the 2SLS is of the large-sample type.
- When the equation system contains lagged endogenous variables, the consistency and large-sample normality of the 2SLS coefficient estimators require an additional condition.
- Take cautions when lagged endogenous variables are not really predetermined.
In the regression report of ILS method, we do not give the standard error of the estimated coefficient, but we can give these standard error for the estimator of 2SLS.
Remind \(u^{\ast}_{t2}=u_{t2}+\gamma_{12}\hat{v}_{t1}\)
It will imply \(u^{\ast}_{t2} \neq u_{t2}\) , and then we need to calculate the “correct” standard error for the purpose of inference.
For the specific method of error correction, please refer to appendix 20a.2 of the textbook (Damodar Gujarati).
The process for error correction show as below.
\[ \begin{align} Y_{t2} & = \beta_{02} + \gamma_{12} Y_{1t} + u_{2t} \\ & = \beta_{02} + \gamma_{12} (\hat{Y_{1t}}+\hat{v}_{t1}) + u_{2t} \\ & = \beta_{02} + \gamma_{12} \hat{Y_{1t}}+(\gamma_{12} \hat{v}_{t1} + u_{t2} ) \\ & = \beta_{02} + \gamma_{12} \hat{Y_{1t}}+ u_{t2}^{\ast} \end{align} \]
Where:
\(u^{\ast}_{t2}=u_{t2}+\gamma_{12}\hat{v}_{t1}\)
\[ \begin{align} Y_{t2} & = \beta_{02} + \gamma_{12} \hat{Y_{1t}}+ u_{t2}^{\ast} \end{align} \]
\[ \begin{align} s.e_{\hat{\gamma}_{21}} & = \frac{\hat{\sigma}^2_{u^{\ast}_{t2}}}{\sum{\hat{y}^2_{t1}}}\\ \hat{\sigma}^2_{u^{\ast}_{t2}} & =\frac{ \sum{\left ( u^{\ast}_{t2} \right )^2} }{n-2} = \frac{ \sum{\left (Y_{t2}-\hat{\beta}_{02} -\hat{\gamma}_{12}\hat{Y}_{1t} \right )^2} }{n-2} \end{align} \]
In fact, we know \(u^{\ast}_{t2} \neq u_{t2}\) , which means \(\hat{\sigma}_{u^{\ast}_{t2}} \neq \hat{\sigma}_{u_{t2}}\) .
Thus we can obtain \(\hat{\sigma}_{u_{t2}}\) .
\[ \begin{align} \hat{u}_{t2} &= Y_{t2} - \hat{\beta}_{02} - \hat{\gamma}_{12}Y_{t1} \\ \hat{\sigma}^2_{u_{2t}} & =\frac{ \sum{\left ( u_{2t} \right )^2} }{n-2} = \frac{ \sum{\left (Y_{t2}-\hat{\beta}_{02} -\hat{\gamma}_{12}Y_{1t} \right )^2} }{n-2} \end{align} \]
Therefore, in order to correct the standard error of the coefficients estimated by stage 2 regression, it is necessary to multiply the standard error of each coefficient by the following error correction factor.
\[ \begin{align} \eta &= \frac{ \hat{\sigma}^2_{u_{t2}} } {\hat{\sigma}^2_{u^{\ast}_{t2}} } \end{align} \]
\[ \begin{align} s.e^{\ast}_{\hat{\gamma}_{12}} & = s.e_{\hat{\gamma}_{12}} \cdot \eta = s.e_{\hat{\gamma}_{12}} \cdot \frac{ \hat{\sigma}^2_{u_{t2}} } {\hat{\sigma}^2_{u^{\ast}_{t2}} } \\ s.e^{\ast}_{\hat{\beta}_{02}} & = s.e_{\hat{\beta}_{02}} \cdot \eta = s.e_{\hat{\beta}_{20}} \cdot \frac{ \hat{\sigma}^2_{u_{t2}} } {\hat{\sigma}^2_{u^{\ast}_{t2}} } \end{align} \]
Only the money supply equation is overidentifiable
Therefore, we can construct the following structural SEM:
\[ \begin{cases} \begin{alignat}{6} Y_{t1} = \beta_{01} & &+ \gamma_{21}Y_{t2} & & + \beta_{11}X_{t1} & + \beta_{21}X_{t2} & & +u_{t1} && \text{ (income eq)} \\ Y_{t2} = \beta_{02} & + \gamma_{12}Y_{1t} & & & & & & + u_{t2} && \text{ (money supply eq)} \end{alignat} \end{cases} \]
Where:
\(Y_1=GDP\) (gross domestic product GDP);
\(Y_2=M2\) (money supply);
\(X_1=GDPI\) (Private domestic investment);
\(X_2=FEDEXP\) (Federal expenditure)
\[ \begin{cases} \begin{alignat}{6} Y_{t1} &&= \beta_{01} && &&+ \gamma_{21}Y_{t2} && + \beta_{11}X_{t1} && + \beta_{21}X_{t2} && +u_{t1} && \text{ (income eq)} \\ Y_{t2} &&= \beta_{02} && + \gamma_{12}Y_{1t} && && && && + u_{t2} && \text{ (money supply eq)} \end{alignat} \end{cases} \]
stage 1: Estimate the regression of \(Y_1\) to all predetermined variables in the structural SEM (not only in the equation under consideration), and obtain \(\hat{Y}_{t1}; \hat {n} _ {t1}\) .
That is:
\[ \begin{align} Y_{1t} &= \widehat{\pi_0} + \widehat{\pi_1} X_{1t} + \widehat{\pi_2} X_{2t} + \hat{v}_{t1} \\ &= \hat{Y_{1t} } + \hat{v}_{t1} \end{align} \]
Regression results of stage 1:
\[ \begin{alignedat}{999} \begin{split} &\widehat{Y1}=&&+2689.85&&+1.87X1_i&&+2.03X2_i\\ &(s)&&(67.9874)&&(0.1717)&&(0.1075)\\ &(t)&&(+39.56)&&(+10.89)&&(+18.93)\\ &(fit)&&R^2=0.9964&&\bar{R}^2=0.9962 &&\\ &(Ftest)&&F^*=4534.36&&p=0.0000 && \end{split} \end{alignedat} \]
At the same time, we can obtain \(\hat{Y }_{t1} ;\hat{v}_{t1}\) :
\[ \begin{cases} \begin{alignat}{6} Y_{t1} &&= \beta_{01} && &&+ \gamma_{21}Y_{t2} && + \beta_{11}X_{t1} && + \beta_{21}X_{t2} && +u_{t1} && \text{ (income eq)} \\ Y_{t2} &&= \beta_{02} && + \gamma_{12}Y_{1t} && && && && + u_{t2} && \text{ (money supply eq)} \end{alignat} \end{cases} \]
stage 2: Now transform the overidentification supply equation as follows:
\[ \begin{align} Y_{t2} & = \beta_{02} + \gamma_{12} \hat{Y}_{1t}+ u_{t2}^{\ast} \end{align} \]
Using the new variables in stage 1 results, and apply OLS estimation to obtain:
\[ \begin{alignedat}{999} \begin{split} &\widehat{Y2}=&&-2440.20&&+0.79Y1.hat_i\\ &(s)&&(127.3738)&&(0.0178)\\ &(t)&&(-19.16)&&(+44.52)\\ &(fit)&&R^2=0.9831&&\bar{R}^2=0.9826\\ &(Ftest)&&F^*=1982.40&&p=0.0000 \end{split} \end{alignedat} \]
As comparison, we give a “biased” estimation with OLS method directly to the money supply equation, and obtain following result:
\[ \begin{alignedat}{999} \begin{split} &\widehat{Y2}=&&-2430.34&&+0.79Y1_i\\ &(s)&&(127.2148)&&(0.0178)\\ &(t)&&(-19.10)&&(+44.51)\\ &(fit)&&R^2=0.9831&&\bar{R}^2=0.9826\\ &(Ftest)&&F^*=1980.77&&p=0.0000 \end{split} \end{alignedat} \]
The R raw report for the biased regression show as:
Call:
lm(formula = models_money$mod.ols, data = us_money_new)
Residuals:
Min 1Q Median 3Q Max
-418.3 -151.7 40.2 143.5 380.8
Coefficients:
Estimate Std. Error t value Pr(>|t|)
(Intercept) -2.430e+03 1.272e+02 -19.10 <2e-16 ***
Y1 7.905e-01 1.776e-02 44.51 <2e-16 ***
---
Signif. codes: 0 '***' 0.001 '**' 0.01 '*' 0.05 '.' 0.1 ' ' 1
Residual standard error: 229.1 on 34 degrees of freedom
Multiple R-squared: 0.9831, Adjusted R-squared: 0.9826
F-statistic: 1981 on 1 and 34 DF, p-value: < 2.2e-16
both income equation and money supply equation are over-identifiable
Different from the former structural SEM, we can construct the improved one:
\[ \begin{cases} \begin{alignat}{6} Y_{t1} = \beta_{01} & &+ \gamma_{12}Y_{t2} & & + \beta_{11}X_{t1} & + \beta_{21}X_{t2} & & & +u_{t1} & \text{ (income eq)} \\ Y_{t2} = \beta_{02} & + \gamma_{12}Y_{1t} & & & & &+ \beta_{12}Y_{1,t-1} &+ \beta_{22}Y_{2,t-1} & + u_{t2} & \text{ (money supply eq)} \end{alignat} \end{cases} \]
Next, we judge the identification problem according to order condition rules 2 :
The number of predetermineed variables in the structural SEM is \(K=5\) .
The first equation: the number of predetermined variables is \(k=3\) , and \((K-k)=2\) . Also the number of endogenous variables is \(m=2\) , and \((m-1)=1\) . We will see \((K-k)>(m-1)\) . So the first equation is overidentification.
The second equation: the number of predetermined variables is \(k=3\) , and \((K-k)=2\) ; Also the number of endogenous variables is \(m=2\) , and \((m-1)=1\) . We will see \((K-k)>(m-1)\) . Thus it is also overidentification.
Now, we will use two-stage least squares (2SLS) to get consistent estimates for both income equation and money supply equation.
Stage 1:
Estimate the regression of \(Y_1\) to all predetermined variables in the structural SEM (not only in the equation under consideration), and obtain \(\hat{Y}_{t1} ;\hat{v}^{\ast}_{t1}\) .
Meanwhile, estimate the regression of \(Y_2\) to all predetermined variables in the structural SEM (not only in the equation under consideration), and obtain \(\hat{Y}_{t2} ;\hat{v}^{\ast}_{t2}\) :
\[ \begin{align} Y_{t1} &= \widehat{\pi}_{01} + \widehat{\pi}_{11} X_{t1} + \widehat{\pi}_{21} X_{t2} + \widehat{\pi}_{31} Y_{t-1,1} + \widehat{\pi}_{41} Y_{t-1,2}+ \hat{v}_{t1} \\ &= \hat{Y}_{1t} +\hat{v}_{t1} \\ Y_{t2} &= \widehat{\pi}_{02} + \widehat{\pi}_{12} X_{t1} + \widehat{\pi}_{22} X_{t2} + \widehat{\pi}_{32} Y_{t-1,1} + \widehat{\pi}_{42} Y_{t-1,2}+ \hat{v}_{t2} \\ &= \hat{Y}_{t2} +\hat{v}_{t2} \end{align} \]
\[ \begin{alignedat}{999} \begin{split} &\widehat{Y1}=&&+1098.90&&+0.98X1_i&&+0.77X2_i\\ &(s)&&(185.5566)&&(0.1308)&&(0.1831)\\ &(t)&&(+5.92)&&(+7.50)&&(+4.19)\\ &(cont.)&&+0.59Y1.l1_i&&-0.01Y2.l1_i &&\\ &(s)&&(0.0667)&&(0.0721) &&\\ &(t)&&(+8.87)&&(-0.10) &&\\ &(fit)&&R^2=0.9990&&\bar{R}^2=0.9989 &&\\ &(Ftest)&&F^*=7857.58&&p=0.0000 && \end{split} \end{alignedat} \]
\[ \begin{alignedat}{999} \begin{split} &\widehat{Y2}=&&-207.14&&+0.20X1_i&&-0.35X2_i\\ &(s)&&(184.9121)&&(0.1303)&&(0.1824)\\ &(t)&&(-1.12)&&(+1.53)&&(-1.95)\\ &(cont.)&&+0.06Y1.l1_i&&+1.06Y2.l1_i &&\\ &(s)&&(0.0665)&&(0.0718) &&\\ &(t)&&(+0.94)&&(+14.78) &&\\ &(fit)&&R^2=0.9985&&\bar{R}^2=0.9983 &&\\ &(Ftest)&&F^*=5050.57&&p=0.0000 && \end{split} \end{alignedat} \]
Hence, we can obtain new variables from the two former regressions results respectively: \(\hat{Y}_{t1} ;\hat{v}_{t1}\) , and \(\hat{Y}_{t2} ;\hat{v}_{t2}\) .
Stage 2:
\[ \begin{align} Y_{t1} &= \beta_{01} + \gamma_{21} \hat{Y}_{t2} + \beta_{11}X_{t1} + \beta_{21}X_{t2} +u^{\ast}_{t1} \\ Y_{t2} &= \beta_{20} + \gamma_{12} \hat{Y}_{1t} + \beta_{12}Y_{t-1,1} + \beta_{22}Y_{t-1,2} + u^{\ast}_{t2} \end{align} \]
\[ \begin{alignedat}{999} \begin{split} &\widehat{Y1}=&&+2723.68&&+0.22Y2.hat_i&&+1.71X1_i\\ &(s)&&(67.5331)&&(0.1156)&&(0.1848)\\ &(t)&&(+40.33)&&(+1.90)&&(+9.27)\\ &(cont.)&&+1.57X2_i && &&\\ &(s)&&(0.2623) && &&\\ &(t)&&(+5.98) && &&\\ &(fit)&&R^2=0.9966&&\bar{R}^2=0.9963 &&\\ &(Ftest)&&F^*=3073.97&&p=0.0000 && \end{split} \end{alignedat} \]
\[ \begin{alignedat}{999} \begin{split} &\widehat{Y2}=&&-228.13&&+0.11Y1.hat_i&&-0.03Y1.l1_i\\ &(s)&&(153.6925)&&(0.1431)&&(0.1481)\\ &(t)&&(-1.48)&&(+0.77)&&(-0.17)\\ &(cont.)&&+0.93Y2.l1_i && &&\\ &(s)&&(0.0618) && &&\\ &(t)&&(+15.10) && &&\\ &(fit)&&R^2=0.9981&&\bar{R}^2=0.9979 &&\\ &(Ftest)&&F^*=5461.60&&p=0.0000 && \end{split} \end{alignedat} \]
Call:
lm(formula = models_money2$mod2.stage2.1, data = us_money_new2)
Residuals:
Min 1Q Median 3Q Max
-360.45 -66.79 35.70 81.22 186.18
Coefficients:
Estimate Std. Error t value Pr(>|t|)
(Intercept) 2723.6809 67.5331 40.331 < 2e-16 ***
Y2.hat 0.2192 0.1156 1.896 0.0673 .
X1 1.7142 0.1848 9.275 1.87e-10 ***
X2 1.5690 0.2623 5.981 1.29e-06 ***
---
Signif. codes: 0 '***' 0.001 '**' 0.01 '*' 0.05 '.' 0.1 ' ' 1
Residual standard error: 130.1 on 31 degrees of freedom
(1 observation deleted due to missingness)
Multiple R-squared: 0.9966, Adjusted R-squared: 0.9963
F-statistic: 3074 on 3 and 31 DF, p-value: < 2.2e-16
Call:
lm(formula = models_money2$mod2.stage2.1, data = us_money_new2)
Residuals:
Min 1Q Median 3Q Max
-360.45 -66.79 35.70 81.22 186.18
Coefficients:
Estimate Std. Error t value Pr(>|t|)
(Intercept) 2723.6809 67.5331 40.331 < 2e-16 ***
Y2.hat 0.2192 0.1156 1.896 0.0673 .
X1 1.7142 0.1848 9.275 1.87e-10 ***
X2 1.5690 0.2623 5.981 1.29e-06 ***
---
Signif. codes: 0 '***' 0.001 '**' 0.01 '*' 0.05 '.' 0.1 ' ' 1
Residual standard error: 130.1 on 31 degrees of freedom
(1 observation deleted due to missingness)
Multiple R-squared: 0.9966, Adjusted R-squared: 0.9963
F-statistic: 3074 on 3 and 31 DF, p-value: < 2.2e-16
By using R systemfit package, we can apply the two-stage least square method with “error correction”, and the report summarized as follows:
By using R systemfit package, we can apply the two-stage least square method with “error correction”, and the detail report show as follows:
systemfit results
method: 2SLS
N DF SSR detRCov OLS-R2 McElroy-R2
system 70 62 749260 107381032 0.997082 0.998059
N DF SSR MSE RMSE R2 Adj R2
eq1 35 31 549669 17731.24 133.1587 0.996492 0.996153
eq2 35 31 199592 6438.44 80.2399 0.998006 0.997813
The covariance matrix of the residuals
eq1 eq2
eq1 17731.24 -2603.96
eq2 -2603.96 6438.44
The correlations of the residuals
eq1 eq2
eq1 1.00000 -0.24371
eq2 -0.24371 1.00000
2SLS estimates for 'eq1' (equation 1)
Model Formula: Y1 ~ Y2 + X1 + X2
Instruments: ~X1 + X2 + Y1.l1 + Y2.l1
Estimate Std. Error t value Pr(>|t|)
(Intercept) 2723.680944 69.101729 39.41553 < 2.22e-16 ***
Y2 0.219243 0.118317 1.85302 0.07342 .
X1 1.714216 0.189119 9.06422 3.1717e-10 ***
X2 1.569039 0.268427 5.84531 1.9068e-06 ***
---
Signif. codes: 0 '***' 0.001 '**' 0.01 '*' 0.05 '.' 0.1 ' ' 1
Residual standard error: 133.158716 on 31 degrees of freedom
Number of observations: 35 Degrees of Freedom: 31
SSR: 549668.549447 MSE: 17731.243531 Root MSE: 133.158716
Multiple R-Squared: 0.996492 Adjusted R-Squared: 0.996153
2SLS estimates for 'eq2' (equation 2)
Model Formula: Y2 ~ Y1 + Y1.l1 + Y2.l1
Instruments: ~X1 + X2 + Y1.l1 + Y2.l1
Estimate Std. Error t value Pr(>|t|)
(Intercept) -228.1320387 157.9454624 -1.44437 0.15867
Y1 0.1099682 0.1470504 0.74783 0.46020
Y1.l1 -0.0250416 0.1522272 -0.16450 0.87040
Y2.l1 0.9329562 0.0635111 14.68965 1.7764e-15 ***
---
Signif. codes: 0 '***' 0.001 '**' 0.01 '*' 0.05 '.' 0.1 ' ' 1
Residual standard error: 80.239917 on 31 degrees of freedom
Number of observations: 35 Degrees of Freedom: 31
SSR: 199591.774884 MSE: 6438.444351 Root MSE: 80.239917
Multiple R-Squared: 0.998006 Adjusted R-Squared: 0.997813
\[ \begin{alignedat}{999} \begin{split} &\widehat{Y1}=&&+2706.39&&+0.17Y2_i&&+1.75X1_i\\ &(s)&&(67.6150)&&(0.1115)&&(0.1864)\\ &(t)&&(+40.03)&&(+1.51)&&(+9.39)\\ &(cont.)&&+1.68X2_i && &&\\ &(s)&&(0.2552) && &&\\ &(t)&&(+6.60) && &&\\ &(fit)&&R^2=0.9966&&\bar{R}^2=0.9963 &&\\ &(Ftest)&&F^*=3139.86&&p=0.0000 && \end{split} \end{alignedat} \]
\[ \begin{alignedat}{999} \begin{split} &\widehat{Y2}=&&-206.53&&-0.02Y1_i&&+0.10Y1.l1_i\\ &(s)&&(154.4428)&&(0.1178)&&(0.1252)\\ &(t)&&(-1.34)&&(-0.14)&&(+0.79)\\ &(cont.)&&+0.94Y2.l1_i && &&\\ &(s)&&(0.0622) && &&\\ &(t)&&(+15.14) && &&\\ &(fit)&&R^2=0.9981&&\bar{R}^2=0.9979 &&\\ &(Ftest)&&F^*=5362.58&&p=0.0000 && \end{split} \end{alignedat} \]



The scatter plot on truffle quantity Q and truffle market price P is given below:

Given the structural SEM:
\[ \begin{cases} \begin{align} Q_i &= \alpha_0+\alpha_1P_i+\alpha_2PS_i+\alpha_3DI_i+u_{i1} &&\text{(demand function)}\\ Q_i &= \beta_0+\beta_1P_i+\beta_2PF_i+u_{i2} &&\text{(supply function)} \end{align} \end{cases} \]
We can get the reduced SEM:
\[ \begin{cases} \begin{align} P_i &= \pi_{01}+ \pi_{11}PS_i+\pi_{21}DI_i+\pi_{31}PF_i+v_{t1}\\ Q_i &= \pi_{02}+\pi_{12}PS_t+\pi_{22}DI_i+\pi_{32}PF_i+v_{t2} \end{align} \end{cases} \]
Also we obtain the relationship between structural and reduced coefficients:
\[ \begin{cases} \begin{align} & \pi_{01} = \frac{\beta_0-\alpha_0}{\alpha_1-\beta_1} \\ & \pi_{11} = - \frac{\alpha_2}{\alpha_1-\beta_1} \\ & \pi_{21} = - \frac{\alpha_3}{\alpha_1-\beta_1} \\ & \pi_{31} = \frac{\beta_2}{\alpha_1-\beta_1} \\ & v_{t1} = \frac{u_{2t}-u_{1t}}{\alpha_1-\beta_1} && \end{align} \end{cases} \]
\[ \begin{cases} \begin{align} & \pi_{02} = - \frac{\alpha_1\beta_0-\alpha_0\beta_1}{\alpha_1-\beta_1} \\ & \pi_{12} = - \frac{\alpha_2\beta_1}{\alpha_1-\beta_1} \\ & \pi_{22} = - \frac{\alpha_3\beta_1}{\alpha_1-\beta_1} \\ & \pi_{32} = \frac{\alpha_1\beta_2}{\alpha_1-\beta_1} \\ & v_{t2} = \frac{\alpha_1u_{2t}-\beta_1u_{1t}}{\alpha_1-\beta_1} \end{align} \end{cases} \]
We can apply OLS method directly. Of course estimation results will be biased.
\[ \begin{alignedat}{999} \begin{split} &\widehat{Q}=&&+1.09&&+0.02P_i&&+0.71PS_i\\ &(s)&&(3.7116)&&(0.0768)&&(0.2143)\\ &(t)&&(+0.29)&&(+0.30)&&(+3.31)\\ &(cont.)&&+0.08DI_i && &&\\ &(s)&&(1.1909) && &&\\ &(t)&&(+0.06) && &&\\ &(fit)&&R^2=0.4957&&\bar{R}^2=0.4375 &&\\ &(Ftest)&&F^*=8.52&&p=0.0004 && \end{split} \end{alignedat} \]
\[ \begin{alignedat}{999} \begin{split} &\widehat{Q}=&&+20.03&&+0.34P_i&&-1.00PF_i\\ &(s)&&(1.2220)&&(0.0217)&&(0.0764)\\ &(t)&&(+16.39)&&(+15.54)&&(-13.10)\\ &(fit)&&R^2=0.9019&&\bar{R}^2=0.8946 &&\\ &(Ftest)&&F^*=124.08&&p=0.0000 && \end{split} \end{alignedat} \]
lm)
Call:
lm(formula = eq.D, data = truffles)
Residuals:
Min 1Q Median 3Q Max
-7.155 -1.936 -0.374 2.396 6.335
Coefficients:
Estimate Std. Error t value Pr(>|t|)
(Intercept) 1.09105 3.71158 0.294 0.77112
P 0.02330 0.07684 0.303 0.76418
PS 0.71004 0.21432 3.313 0.00272 **
DI 0.07644 1.19086 0.064 0.94931
---
Signif. codes: 0 '***' 0.001 '**' 0.01 '*' 0.05 '.' 0.1 ' ' 1
Residual standard error: 3.46 on 26 degrees of freedom
Multiple R-squared: 0.4957, Adjusted R-squared: 0.4375
F-statistic: 8.52 on 3 and 26 DF, p-value: 0.0004159
Call:
lm(formula = eq.S, data = truffles)
Residuals:
Min 1Q Median 3Q Max
-3.7830 -0.8530 0.2270 0.7579 3.3475
Coefficients:
Estimate Std. Error t value Pr(>|t|)
(Intercept) 20.03278 1.22197 16.39 1.47e-15 ***
P 0.33799 0.02174 15.54 5.42e-15 ***
PF -1.00092 0.07639 -13.10 3.23e-13 ***
---
Signif. codes: 0 '***' 0.001 '**' 0.01 '*' 0.05 '.' 0.1 ' ' 1
Residual standard error: 1.498 on 27 degrees of freedom
Multiple R-squared: 0.9019, Adjusted R-squared: 0.8946
F-statistic: 124.1 on 2 and 27 DF, p-value: 2.448e-14
symtemfit)symtemfit)
systemfit results
method: OLS
N DF SSR detRCov OLS-R2 McElroy-R2
system 60 53 371.764 23.5756 0.698799 0.808917
N DF SSR MSE RMSE R2 Adj R2
eq1 30 26 311.2096 11.96960 3.45971 0.495720 0.437534
eq2 30 27 60.5546 2.24276 1.49758 0.901878 0.894610
The covariance matrix of the residuals
eq1 eq2
eq1 11.96960 1.80814
eq2 1.80814 2.24276
The correlations of the residuals
eq1 eq2
eq1 1.00000 0.34898
eq2 0.34898 1.00000
OLS estimates for 'eq1' (equation 1)
Model Formula: Q ~ P + PS + DI
Estimate Std. Error t value Pr(>|t|)
(Intercept) 1.0910453 3.7115804 0.29396 0.7711247
P 0.0232954 0.0768423 0.30316 0.7641812
PS 0.7100395 0.2143246 3.31292 0.0027193 **
DI 0.0764442 1.1908551 0.06419 0.9493078
---
Signif. codes: 0 '***' 0.001 '**' 0.01 '*' 0.05 '.' 0.1 ' ' 1
Residual standard error: 3.459711 on 26 degrees of freedom
Number of observations: 30 Degrees of Freedom: 26
SSR: 311.209627 MSE: 11.969601 Root MSE: 3.459711
Multiple R-Squared: 0.49572 Adjusted R-Squared: 0.437534
OLS estimates for 'eq2' (equation 2)
Model Formula: Q ~ P + PF
Estimate Std. Error t value Pr(>|t|)
(Intercept) 20.0327764 1.2219720 16.3938 1.3323e-15 ***
P 0.3379875 0.0217445 15.5435 5.3291e-15 ***
PF -1.0009246 0.0763902 -13.1028 3.2352e-13 ***
---
Signif. codes: 0 '***' 0.001 '**' 0.01 '*' 0.05 '.' 0.1 ' ' 1
Residual standard error: 1.497585 on 27 degrees of freedom
Number of observations: 30 Degrees of Freedom: 27
SSR: 60.554565 MSE: 2.242762 Root MSE: 1.497585
Multiple R-Squared: 0.901878 Adjusted R-Squared: 0.89461
symtemfit)# load pkg
require(systemfit)
# set equation systems
eq.D <- Q~P + PS + DI
eq.S <- Q~P + PF
eq.sys <- list(eq.D, eq.S)
# set instruments
instr <- ~ PS + DI + PF
# system fit using `2SLS` method
system.iv <- systemfit(
formula = eq.sys, inst = instr,
method = "2SLS",
data = truffles
)
# estimation summary
smry.iv <- summary(system.iv)symtemfit)
systemfit results
method: 2SLS
N DF SSR detRCov OLS-R2 McElroy-R2
system 60 53 692.472 49.8028 0.438964 0.807408
N DF SSR MSE RMSE R2 Adj R2
eq1 30 26 631.9171 24.30450 4.92996 -0.023950 -0.142098
eq2 30 27 60.5546 2.24276 1.49758 0.901878 0.894610
The covariance matrix of the residuals
eq1 eq2
eq1 24.30451 2.16943
eq2 2.16943 2.24276
The correlations of the residuals
eq1 eq2
eq1 1.00000 0.29384
eq2 0.29384 1.00000
2SLS estimates for 'eq1' (equation 1)
Model Formula: Q ~ P + PS + DI
Instruments: ~PS + DI + PF
Estimate Std. Error t value Pr(>|t|)
(Intercept) -4.279471 5.543884 -0.77193 0.4471180
P -0.374459 0.164752 -2.27287 0.0315350 *
PS 1.296033 0.355193 3.64881 0.0011601 **
DI 5.013977 2.283556 2.19569 0.0372352 *
---
Signif. codes: 0 '***' 0.001 '**' 0.01 '*' 0.05 '.' 0.1 ' ' 1
Residual standard error: 4.92996 on 26 degrees of freedom
Number of observations: 30 Degrees of Freedom: 26
SSR: 631.917143 MSE: 24.304505 Root MSE: 4.92996
Multiple R-Squared: -0.02395 Adjusted R-Squared: -0.142098
2SLS estimates for 'eq2' (equation 2)
Model Formula: Q ~ P + PF
Instruments: ~PS + DI + PF
Estimate Std. Error t value Pr(>|t|)
(Intercept) 20.0328022 1.2231148 16.3785 1.5543e-15 ***
P 0.3379816 0.0249196 13.5629 1.4344e-13 ***
PF -1.0009094 0.0825279 -12.1281 1.9456e-12 ***
---
Signif. codes: 0 '***' 0.001 '**' 0.01 '*' 0.05 '.' 0.1 ' ' 1
Residual standard error: 1.497585 on 27 degrees of freedom
Number of observations: 30 Degrees of Freedom: 27
SSR: 60.554565 MSE: 2.242762 Root MSE: 1.497585
Multiple R-Squared: 0.901878 Adjusted R-Squared: 0.89461
symtemfit)The OLS regression results of reduced price equation:
\[ \begin{alignedat}{999} \begin{split} &\widehat{P}=&&-32.51&&+1.71PS_i&&+7.60DI_i\\ &(s)&&(7.9842)&&(0.3509)&&(1.7243)\\ &(t)&&(-4.07)&&(+4.87)&&(+4.41)\\ &(cont.)&&+1.35PF_i && &&\\ &(s)&&(0.2985) && &&\\ &(t)&&(+4.54) && &&\\ &(fit)&&R^2=0.8887&&\bar{R}^2=0.8758 &&\\ &(Ftest)&&F^*=69.19&&p=0.0000 && \end{split} \end{alignedat} \]
The OLS regression results of reduced quantity equation:
\[ \begin{alignedat}{999} \begin{split} &\widehat{Q}=&&+7.90&&+0.66PS_i&&+2.17DI_i\\ &(s)&&(3.2434)&&(0.1425)&&(0.7005)\\ &(t)&&(+2.43)&&(+4.61)&&(+3.09)\\ &(cont.)&&-0.51PF_i && &&\\ &(s)&&(0.1213) && &&\\ &(t)&&(-4.18) && &&\\ &(fit)&&R^2=0.6974&&\bar{R}^2=0.6625 &&\\ &(Ftest)&&F^*=19.97&&p=0.0000 && \end{split} \end{alignedat} \]
We can apply OLS method directly. Of course estimation results will be biased.
\[ \begin{alignedat}{999} \begin{split} &\widehat{Q}=&&+1.09&&+0.02P_i&&+0.71PS_i\\ &(s)&&(3.7116)&&(0.0768)&&(0.2143)\\ &(t)&&(+0.29)&&(+0.30)&&(+3.31)\\ &(cont.)&&+0.08DI_i && &&\\ &(s)&&(1.1909) && &&\\ &(t)&&(+0.06) && &&\\ &(fit)&&R^2=0.4957&&\bar{R}^2=0.4375 &&\\ &(Ftest)&&F^*=8.52&&p=0.0004 && \end{split} \end{alignedat} \]
\[ \begin{alignedat}{999} \begin{split} &\widehat{Q}=&&+20.03&&+0.34P_i&&-1.00PF_i\\ &(s)&&(1.2220)&&(0.0217)&&(0.0764)\\ &(t)&&(+16.39)&&(+15.54)&&(-13.10)\\ &(fit)&&R^2=0.9019&&\bar{R}^2=0.8946 &&\\ &(Ftest)&&F^*=124.08&&p=0.0000 && \end{split} \end{alignedat} \]




Given the structural SEM:
\[ \begin{cases} \begin{align} lquan_t &= \alpha_0+\alpha_1lprice_t+\alpha_2mon_t+\alpha_3tue_t+\alpha_4wen_t+\alpha_5thu_t+u_{1t} &&\text{(demand eq)}\\ lquan_t &= \beta_0+\beta_1lprice_t+\beta_3stormy_t+u_{2t} &&\text{(supply eq)} \end{align} \end{cases} \]
We can obtain the reduced SEM:
\[ \begin{cases} \begin{align} lquan_t &= \pi_0 + \pi_1mon_t+\pi_2tue_t+\pi_3wen_t+\pi_4thu_t +\pi_5stormy_t+v_t &&\text{(reduced eq1)}\\ lprice_t &= \pi_0 + \pi_1mon_t+\pi_2tue_t+\pi_3wen_t+\pi_4thu_t +\pi_5stormy_t+v_t &&\text{(reduced eq2)}\\ \end{align} \end{cases} \]
The regression results of reduced quantity equation show as follows:
\[ \begin{alignedat}{999} &\widehat{lquan}=&&+8.81&&+0.10mon&&-0.48tue&&-0.55wed&&+0.05thu&&-0.39stormy\\ &\text{(t)}&&(59.9225)&&(0.4891)&&(-2.4097)&&(-2.6875)&&(0.2671)&&(-2.6979)\\ &\text{(se)}&&(0.1470)&&(0.2065)&&(0.2011)&&(0.2058)&&(0.2010)&&(0.1437)\\ &\text{(fitness)}&& n=111;&& R^2=0.1934;&& \bar{R^2}=0.1550\\ & && F^{\ast}=5.03;&& p=0.0004\\ \end{alignedat} \]
The regression results of reduced price equation show as follows:
\[ \begin{alignedat}{999} &\widehat{lprice}=&&-0.27&&-0.11mon&&-0.04tue&&-0.01wed&&+0.05thu&&+0.35stormy\\ &\text{(t)}&&(-3.5569)&&(-1.0525)&&(-0.3937)&&(-0.1106)&&(0.4753)&&(4.6387)\\ &\text{(se)}&&(0.0764)&&(0.1073)&&(0.1045)&&(0.1069)&&(0.1045)&&(0.0747)\\ &\text{(fitness)}&& n=111;&& R^2=0.1789;&& \bar{R^2}=0.1398\\ & && F^{\ast}=4.58;&& p=0.0008 \end{alignedat} \]
# set equation systems
fish.D <- formula(lquan ~ lprice + mon + tue + wed + thu)
fish.S <- formula(lprice ~ lquan + stormy)
fish.eqs <- list(fish.D, fish.S)
# set instruments
fish.ivs <- ~ mon + tue + wed + thu + stormy
# system fit using `2SLS` method
fish.sys <- systemfit(fish.eqs,
method = "2SLS",
inst = fish.ivs, data = fultonfish
)
# estimation summary
fish.smry <- summary(fish.sys)
systemfit results
method: 2SLS
N DF SSR detRCov OLS-R2 McElroy-R2
system 222 213 65.577 0.055061 0.143396 0.308369
N DF SSR MSE RMSE R2 Adj R2
eq1 111 105 52.0903 0.496098 0.704342 0.139124 0.098130
eq2 111 108 13.4867 0.124877 0.353379 0.159506 0.143941
The covariance matrix of the residuals
eq1 eq2
eq1 0.4960983 0.0830042
eq2 0.0830042 0.1248767
The correlations of the residuals
eq1 eq2
eq1 1.000000 0.333484
eq2 0.333484 1.000000
2SLS estimates for 'eq1' (equation 1)
Model Formula: lquan ~ lprice + mon + tue + wed + thu
Instruments: ~mon + tue + wed + thu + stormy
Estimate Std. Error t value Pr(>|t|)
(Intercept) 8.5059113 0.1661669 51.18896 < 2.22e-16 ***
lprice -1.1194169 0.4286450 -2.61152 0.0103334 *
mon -0.0254022 0.2147742 -0.11827 0.9060766
tue -0.5307694 0.2080001 -2.55177 0.0121574 *
wed -0.5663511 0.2127549 -2.66199 0.0089895 **
thu 0.1092673 0.2087866 0.52334 0.6018373
---
Signif. codes: 0 '***' 0.001 '**' 0.01 '*' 0.05 '.' 0.1 ' ' 1
Residual standard error: 0.704342 on 105 degrees of freedom
Number of observations: 111 Degrees of Freedom: 105
SSR: 52.090321 MSE: 0.496098 Root MSE: 0.704342
Multiple R-Squared: 0.139124 Adjusted R-Squared: 0.09813
2SLS estimates for 'eq2' (equation 2)
Model Formula: lprice ~ lquan + stormy
Instruments: ~mon + tue + wed + thu + stormy
Estimate Std. Error t value Pr(>|t|)
(Intercept) -2.90660e-01 1.03438e+00 -0.28100 0.77924840
lquan 3.78095e-05 1.19797e-01 0.00032 0.99974876
stormy 3.35276e-01 8.58664e-02 3.90463 0.00016468 ***
---
Signif. codes: 0 '***' 0.001 '**' 0.01 '*' 0.05 '.' 0.1 ' ' 1
Residual standard error: 0.353379 on 108 degrees of freedom
Number of observations: 111 Degrees of Freedom: 108
SSR: 13.486684 MSE: 0.124877 Root MSE: 0.353379
Multiple R-Squared: 0.159506 Adjusted R-Squared: 0.143941
Call:
lm(formula = fish.D, data = fultonfish)
Residuals:
Min 1Q Median 3Q Max
-2.23844 -0.36737 0.08832 0.42304 1.24866
Coefficients:
Estimate Std. Error t value Pr(>|t|)
(Intercept) 8.60689 0.14304 60.170 < 2e-16 ***
lprice -0.56255 0.16821 -3.344 0.00114 **
mon 0.01432 0.20265 0.071 0.94381
tue -0.51624 0.19769 -2.611 0.01034 *
wed -0.55537 0.20232 -2.745 0.00712 **
thu 0.08162 0.19782 0.413 0.68073
---
Signif. codes: 0 '***' 0.001 '**' 0.01 '*' 0.05 '.' 0.1 ' ' 1
Residual standard error: 0.6702 on 105 degrees of freedom
Multiple R-squared: 0.2205, Adjusted R-squared: 0.1834
F-statistic: 5.94 on 5 and 105 DF, p-value: 7.08e-05
\[ \begin{alignedat}{999} \begin{split} &\widehat{lquan}=&&+8.61&&-0.56lprice_i&&+0.01mon_i\\ &(s)&&(0.1430)&&(0.1682)&&(0.2026)\\ &(t)&&(+60.17)&&(-3.34)&&(+0.07)\\ &(cont.)&&-0.52tue_i&&-0.56wed_i&&+0.08thu_i\\ &(s)&&(0.1977)&&(0.2023)&&(0.1978)\\ &(t)&&(-2.61)&&(-2.75)&&(+0.41)\\ &(fit)&&R^2=0.2205&&\bar{R}^2=0.1834 &&\\ &(Ftest)&&F^*=5.94&&p=0.0001 && \end{split} \end{alignedat} \]
\[ \begin{alignedat}{999} \begin{split} &\widehat{lprice}=&&+0.60&&-0.10lquan_i&&+0.30stormy_i\\ &(s)&&(0.3948)&&(0.0455)&&(0.0742)\\ &(t)&&(+1.51)&&(-2.26)&&(+4.01)\\ &(fit)&&R^2=0.1974&&\bar{R}^2=0.1825 &&\\ &(Ftest)&&F^*=13.28&&p=0.0000 && \end{split} \end{alignedat} \]
Call:
lm(formula = fish.S, data = fultonfish)
Residuals:
Min 1Q Median 3Q Max
-0.89381 -0.21934 0.00898 0.20711 0.82067
Coefficients:
Estimate Std. Error t value Pr(>|t|)
(Intercept) 0.59605 0.39481 1.510 0.13404
lquan -0.10273 0.04554 -2.256 0.02608 *
stormy 0.29798 0.07422 4.015 0.00011 ***
---
Signif. codes: 0 '***' 0.001 '**' 0.01 '*' 0.05 '.' 0.1 ' ' 1
Residual standard error: 0.3453 on 108 degrees of freedom
Multiple R-squared: 0.1974, Adjusted R-squared: 0.1825
F-statistic: 13.28 on 2 and 108 DF, p-value: 6.985e-06
Let’s consider the labor market for married women already in the workforce.
We will use the data on working, married women in wooldridge::mroz to estimate the labor supply and wage demand equations by 2SLS.
The full set of instruments includes educ, age, kidslt6, nwifeinc, exper, and exper2.
We will focus on the following variables.
lwage: log(wage)
hours: hours worked, 1975
kidslt6: kids less than 6 years
age: woman’s age in yrs
educ: years of schooling
exper: actual labor mkt exper
expersq: exper^2
nwifeinc: (faminc - wage*hours)/1000
\[ \begin{aligned} \text { hours } & =\alpha_1 \log ( wage)+\beta_{10}+\beta_{11} { educ }+\beta_{12} age+\beta_{13} { kidslt6 } &&\\ &+\beta_{14} { nwifeinc }+u_1 &&\text{(supply)}\\ \log ({ wage }) &=\alpha_2 { hours }+\beta_{20}+\beta_{21} { educ }+\beta_{22} { exper } +\beta_{23} { exper }^2+ u_2 && \quad \text{(demand)} \end{aligned} \]
In the demand function, we write the wage offer as a function of hours and the usual productivity variables.
All variables except hours and log(wage) are assumed to be exogenous.
educ might be correlated with omitted ability in either equation. Here, we just ignore the omitted ability problem.
\[ \begin{alignedat}{8} \text { hours } & =\pi_{10}+\pi_{11} { educ }+\pi_{12} age+\pi_{13} { kidslt6 } +\pi_{14} { nwifeinc }\\ &+\pi_{15} { exper } +\pi_{16} {exper}^2 +v_1 \\ \log ({ wage }) &=\pi_{20}+\pi_{21} { educ }+\pi_{22} age+\pi_{23} { kidslt6 } +\pi_{24} { nwifeinc } \\ &+\pi_{25} { exper } +\pi_{26} {exper}^2+ v_2 \end{alignedat} \]
systemfit results
method: 2SLS
N DF SSR detRCov OLS-R2 McElroy-R2
system 856 845 773893318 155089 -2.00762 0.748802
N DF SSR MSE RMSE R2 Adj R2
eq1 428 423 1.95266e+02 4.61621e-01 0.679427 0.125654 0.117385
eq2 428 422 7.73893e+08 1.83387e+06 1354.204549 -2.007617 -2.043253
The covariance matrix of the residuals
eq1 eq2
eq1 0.461621 -831.543
eq2 -831.542683 1833869.960
The correlations of the residuals
eq1 eq2
eq1 1.000000 -0.903769
eq2 -0.903769 1.000000
2SLS estimates for 'eq1' (equation 1)
Model Formula: lwage ~ hours + educ + exper + expersq
Instruments: ~age + kidslt6 + nwifeinc + educ + exper + expersq
Estimate Std. Error t value Pr(>|t|)
(Intercept) -0.655725423 0.337788290 -1.94123 0.052894 .
hours 0.000125900 0.000254611 0.49448 0.621223
educ 0.110330004 0.015524358 7.10690 5.0768e-12 ***
exper 0.034582356 0.019491555 1.77422 0.076746 .
expersq -0.000705769 0.000454080 -1.55428 0.120865
---
Signif. codes: 0 '***' 0.001 '**' 0.01 '*' 0.05 '.' 0.1 ' ' 1
Residual standard error: 0.679427 on 423 degrees of freedom
Number of observations: 428 Degrees of Freedom: 423
SSR: 195.265558 MSE: 0.461621 Root MSE: 0.679427
Multiple R-Squared: 0.125654 Adjusted R-Squared: 0.117385
2SLS estimates for 'eq2' (equation 2)
Model Formula: hours ~ lwage + educ + age + kidslt6 + nwifeinc
Instruments: ~age + kidslt6 + nwifeinc + educ + exper + expersq
Estimate Std. Error t value Pr(>|t|)
(Intercept) 2225.66187 574.56413 3.87365 0.00012424 ***
lwage 1639.55563 470.57569 3.48415 0.00054535 ***
educ -183.75128 59.09981 -3.10917 0.00200323 **
age -7.80609 9.37801 -0.83238 0.40566400
kidslt6 -198.15431 182.92914 -1.08323 0.27932494
nwifeinc -10.16959 6.61474 -1.53741 0.12494168
---
Signif. codes: 0 '***' 0.001 '**' 0.01 '*' 0.05 '.' 0.1 ' ' 1
Residual standard error: 1354.204549 on 422 degrees of freedom
Number of observations: 428 Degrees of Freedom: 422
SSR: 773893123.12815 MSE: 1833869.960019 Root MSE: 1354.204549
Multiple R-Squared: -2.007617 Adjusted R-Squared: -2.043253
So we should conduct OLS estimation and several tests as we have learned.
Conduct OLS estimation directly for each structural equation.
Weak instrument test (Restricted F test or Cragg-donald test).
Instrument Exogeneity test (J-test).
Regressor Endogeneity test (Wu-Hausman test).
Find these results and get the conclusion!

Chapter 20. How to Estimate SEM ?