Chapter 17. Endogeneity and Instrumental Variables
Chapter 18. Why Should We Concern SEM ?
Chapter 19. What is the Identification Problem?
Chapter 20. How to Estimate SEM ?
18.1 The Nature of Simultaneous-Equation Models
Simultaneous Equations Models (SEM): A system of equations consisting of several equations with interrelated or jointly influence.
The basic and simple SEM is
\[ \begin{cases} \begin{align} Y_{1 i}=\beta_{10}+\gamma_{12} Y_{2 i}+\beta_{11} X_{1 i}+u_{i1} \\ Y_{2 i}=\beta_{20}+\gamma_{21} Y_{1 i}+\beta_{21} X_{1 i}+u_{i2} \end{align} \end{cases} \]
Demand-and-Supply System:
\[ \begin{cases} \begin{align} \text { Demand function: } & {Q_{t}^{d}=\alpha_{0}+\alpha_{1} P_{t}+u_{1t}, \quad \alpha_{1}<0} \\ {\text { Supply function: }} & {Q_{t}^{s}=\beta_{0}+\beta_{1} P_{t}+u_{2t}, \quad \beta_{1}>0} \\ {\text {Equilibrium condition: }} & {Q_{t}^{d}=Q_{t}^{s}} \end{align} \end{cases} \]
Keynesian Model of Income Determination:
\[ \begin{cases} \begin{align} C_t &= \beta_0+\beta_1Y_t+\varepsilon_t &&\text{(consumption function)}\\ Y_t &= C_t+I_t &&\text{(income identity)} \end{align} \end{cases} \]
Macroeconomics goods market equilibrium model, also known as IS Model:
\[ \begin{cases} \begin{align} \text { Consumption function: } & C_{t}=\beta_{0}+\beta_{1} Y_{d t} +u_{1t} & <\beta_{1}<1 \\ \text { Tax function: } & T_{t}=\alpha_{0}+\alpha_{1} Y_{t} +u_{2t}& \quad 0<\alpha_{1}<1 \\ \text { Investment function: } & I_{t}=\gamma_{0}+\gamma_{1} r_{t} +u_{3t} \\ \text { Definition: } & \gamma_{d t}=Y_{t}-T_{t} \\ \text { Government expenditure: } & G_{t}=\bar{G} \\ \text { National income identity: } & Y_{t}=C_{t}+I_{t}+G_{t} \end{align} \end{cases} \]
where: \(Y=\) national income; \(Y_d=\) disposable income; \(r=\) interest rate; \(\bar{G}=\) given level of government expenditure
Macroeconomics money market equilibrium system, also known as LM Model:
\[ \begin{cases} \begin{align} {\text { Money demand function: }} & {M_{t}^{d}=a+b Y_{t}-c r_{t}} +u_{t} \\ {\text { Money supply function: }} & {M_{t}^{s}=\bar{M}} \\ {\text { Equilibrium condition: }} & {M_{t}^{d}=M_{t}^{s}} \end{align} \end{cases} \]
Where: \(Y=\) income; \(r=\) interest rate; \(\bar{M}=\) assumed level of money supply.
Klein’s model I:
\[ \begin{cases} \begin{align} \text { Consumption function: } & C_{t}=\beta_{0}+\beta_{1} P_{t}+\beta_{2}\left(W+W^{\prime}\right)_{t}+\beta_{3} P_{t-1}+u_{ t1} \\ \text { Investment function: } & I_{t} =\beta_{4}+\beta_{5} P_{t}+\beta_{6} P_{t-1}+\beta_{7} K_{t-1}+u_{ t2} \\ \text { Demand for labor: } & w_{t}= \beta_{8}+\beta_{9}\left(Y+T-W^{\prime}\right)_{t} +\beta_{10}\left(Y+T-W^{\prime}\right)_{t-1}+\beta_{11} t+u_{ t3} \\ \text { Identity: } & Y_{t} = C_{t}+I_{t}+C_{t} \\ \text { Identity: } & Y_{t}=W_{t}^{\prime}+W_{t}+P_{t} \\ \text { Identity: } & K_{t}=K_{t-1}+I_{t} \end{align} \end{cases} \]
Where: \(C=\) consumption expenditure; \(Y=\) income after tax; \(P=\) profits; \(W=\) private wage bill; \(W^{\prime}=\) government wage bill; \(K=\) capital stock; \(T=\) taxes.
Cities often want to determine how much additional law enforcement will decrease their murder rates.
\[ \begin{cases} \begin{align} \operatorname{murdpc} &=\alpha_{1} \operatorname{polpc}+\beta_{10}+\beta_{11} \text {incpc}+u_{1} \\ \text { polpc } &=\alpha_{2} \operatorname{murdpc}+\beta_{20}+\text { other factors. } \end{align} \end{cases} \]
Where : \(murdpc =\) murders per capita; \(polpc =\) number of police officers per capita; \(incpc =\) income per capita.
For a random household in the population, we assume that annual housing expenditures and saving are jointly determined by:
\[ \begin{cases} \begin{align} \text {housing } & =\alpha_{1} \text {saving}+\beta_{10}+\beta_{11} \text {inc}+\beta_{12} e d u c+\beta_{13} \text {age}+u_{1} \\ \text {saving} &=\alpha_{2} \text {housing }+\beta_{20}+\beta_{21} \text {inc}+\beta_{22} e d u c+\beta_{23} \text {age}+u_{2} \end{align} \end{cases} \]
Where: \(inc =\) annual income; \(saving =\) household saving; \(educ =\) education measured in years; \(age =\) age measured in years.
Let’s consider the labor market for married women already in the workforce.
\[ \begin{alignedat}{8} \text { hours } & =\alpha_1 \log ( wage)+\beta_{10}+\beta_{11} { educ }+\beta_{12} age \\&+\beta_{13} { kidslt6 } +\beta_{14} { nwifeinc }+u_1 &\text{(supply)}\\ \log ({ wage }) &=\alpha_2 { hours }+\beta_{20}+\beta_{21} { educ }+\beta_{22} { exper } \\&+\beta_{23} { exper }^2+ u_2 & \text{(demand)}\\ \end{alignedat} \]
In the demand function, we write the wage offer as a function of hours and the usual productivity variables.
All variables except hours and log(wage) are assumed to be exogenous.
educ might be correlated with omitted ability in either equation. Here, we just ignore the omitted ability problem.
The essence of simultaneous equation model is endogenous variable problem:
Each of these equations has its economic causality effect.
Some of these equations contain endogenous variables.
Sample data is only the end result of various variables, which lies complex causal interaction behind them.
Estimation all of the parameters directly by OLS method may induce problems.
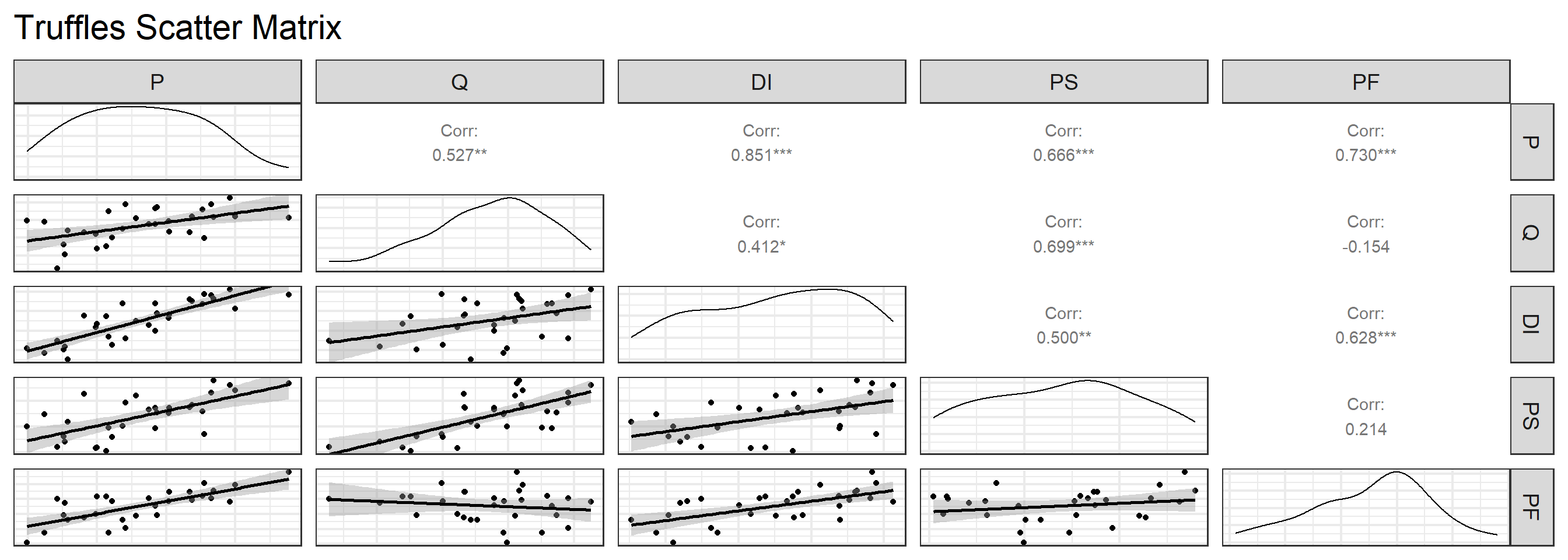
Truffles are delicious food materials. They are edible fungi that grow below the ground. Consider a supply and demand model for truffles:
\[ \begin{cases} \begin{align} \text { Demand: } & Q_{di}=\alpha_{1}+\alpha_{2} P_{i}+\alpha_{3} P S_{i}+\alpha_{4} D I_{i}+e_{d i} \\ \text { Supply: } & Q_{si}=\beta_{1}+\beta_{2} P_{i}+\beta_{3} P F_{i}+e_{s i}\\ \text { Equity: } & Q_{di}= Q_{si} \end{align} \end{cases} \]
where: - \(Q_i=\) the quantity of truffles traded in a particular marketplace; - \(P_i=\) the market price of truffles; - \(PS_i=\) the market price of a substitute for real truffles; - \(DI_i=\) per capita monthly disposable income of local residents; - \(PF_i=\) the price of a factor of production, which in this case is the hourly rental price of truffle-pigs used in the search process.
Let’s start with the simplest linear regression model.
Generally, we use price (P) and output (Q) data to directly conduct simple linear regression modeling:
\[ \begin{cases} \begin{align} P & = \hat{\beta}_1+\hat{\beta}_2Q +e_1 && \text{(simple P model)}\\ Q & = \hat{\beta}_1+\hat{\beta}_2P +e_2 && \text{(simple Q model)} \end{align} \end{cases} \]
As we all know, the linear regression of two variables is asymmetrical, so there is:
\[ \begin{alignedat}{999} \begin{split} &\widehat{P}=&&+23.23&&+2.14Q_i\\ &(s)&&(12.3885)&&(0.6518)\\ &(t)&&(+1.87)&&(+3.28)\\ &(fit)&&R^2=0.2780&&\bar{R}^2=0.2522\\ &(Ftest)&&F^*=10.78&&p=0.0028 \end{split} \end{alignedat} \]
\[ \begin{alignedat}{999} \begin{split} &\widehat{Q}=&&+10.31&&+0.13P_i\\ &(s)&&(2.5863)&&(0.0396)\\ &(t)&&(+3.99)&&(+3.28)\\ &(fit)&&R^2=0.2780&&\bar{R}^2=0.2522\\ &(Ftest)&&F^*=10.78&&p=0.0028 \end{split} \end{alignedat} \]
Of course, we can also use more independent variables X to build the regression models:
\[ \begin{cases} \begin{align} P & = \hat{\beta}_1+\hat{\beta}_2Q +\hat{\beta}_3DI+\hat{\beta}_2PS +e_1 && \text{(added P model)}\\ Q & = \hat{\beta}_1+\hat{\beta}_2P +\hat{\beta}_2PF+e_2 && \text{(added Q model)} \end{align} \end{cases} \]
\[ \begin{alignedat}{999} \begin{split} &\widehat{P}=&&-48.68&&+2.05Q_i&&+3.16DI_i\\ &(s)&&(5.0047)&&(0.2731)&&(1.1409)\\ &(t)&&(-9.73)&&(+7.50)&&(+2.77)\\ &(cont.)&&+0.36PS_i&&+2.39PF_i &&\\ &(s)&&(0.2674)&&(0.2184) &&\\ &(t)&&(+1.36)&&(+10.96) &&\\ &(fit)&&R^2=0.9658&&\bar{R}^2=0.9603 &&\\ &(Ftest)&&F^*=176.23&&p=0.0000 && \end{split} \end{alignedat} \]
\[ \begin{alignedat}{999} \begin{split} &\widehat{Q}=&&+18.88&&+0.34P_i&&-0.40DI_i\\ &(s)&&(2.3480)&&(0.0451)&&(0.5238)\\ &(t)&&(+8.04)&&(+7.50)&&(-0.77)\\ &(cont.)&&+0.08PS_i&&-0.96PF_i &&\\ &(s)&&(0.1115)&&(0.0918) &&\\ &(t)&&(+0.71)&&(-10.51) &&\\ &(fit)&&R^2=0.9069&&\bar{R}^2=0.8920 &&\\ &(Ftest)&&F^*=60.88&&p=0.0000 && \end{split} \end{alignedat} \]
Structural equations: System of equations that directly characterize economic structure or behavior.
The algebraic expression of structural SEM is:
\[ \begin{cases} \begin{alignat}{5} Y_{t1}&= & &+\gamma_{21}Y_{t2}+&\cdots &+\gamma_{m1}Y_{tm} & +\beta_{11}X_{1t}+\beta_{21}X_{t2} &+\cdots+\beta_{k1}X_{tk} &+\varepsilon_{t1} \\ Y_{t2}&=&\gamma_{12}Y_{t1} &+ & \cdots &+\gamma_{m2}Y_{tm}&+\beta_{12}X_{t1}+\beta_{22}X_{t2} &+\cdots+\beta_{k2}X_{tk} &+\varepsilon_{t2}\\ & \vdots &\vdots &&\vdots &&\vdots \\ Y_{tm}&=&\gamma_{1m}Y_{t1}&+\gamma_{2m}Y_{t2}+& \cdots & &+\beta_{1m}X_{t1} +\beta_{2m}X_{t2} &+\cdots+\beta_{km}X_{tk} &+\varepsilon_{tm} \end{alignat} \end{cases} \]
Structural coefficients: Parameters in structural equation that represents an economic outcome or behavioral relationship, including:
\[ \begin{cases} \begin{alignat}{5} Y_{t1}&= & &+\gamma_{21}Y_{t2}+&\cdots &+\gamma_{m1}Y_{tm} & +\beta_{11}X_{1t}+\beta_{21}X_{t2} &+\cdots+\beta_{k1}X_{tk} &+\varepsilon_{t1} \\ Y_{t2}&=&\gamma_{12}Y_{t1} &+ & \cdots &+\gamma_{m2}Y_{tm}&+\beta_{12}X_{t1}+\beta_{22}X_{t2} &+\cdots+\beta_{k2}X_{tk} &+\varepsilon_{t2}\\ & \vdots &\vdots &&\vdots &&\vdots \\ Y_{tm}&=&\gamma_{1m}Y_{t1}&+\gamma_{2m}Y_{t2}+& \cdots & &+\beta_{1m}X_{t1} +\beta_{2m}X_{t2} &+\cdots+\beta_{km}X_{tk} &+\varepsilon_{tm} \end{alignat} \end{cases} \]
- Endogenous structural coefficients: \(\gamma_{11}, \gamma_{21},\cdots, \gamma_{m1}; \cdots; \gamma_{1m}, \gamma_{2m},\cdots, \gamma_{mm}\)
- Exogenous structural coefficients: \(\beta_{11}, \beta_{21},\cdots, \beta_{m1}; \cdots; \beta_{1m}, \beta_{2m},\cdots, \beta_{mm};\)
Endogenous variables: Variables determined by the model.
Predetermined variables:Variables which values are not determined by the model in the current time period.
\[ \begin{cases} \begin{alignat}{5} Y_{t1}&= & &+\gamma_{21}Y_{t2}+&\cdots &+\gamma_{m1}Y_{tm} & +\beta_{11}X_{1t}+\beta_{21}X_{t2} &+\cdots+\beta_{k1}X_{tk} &+\varepsilon_{t1} \\ Y_{t2}&=&\gamma_{12}Y_{t1} &+ & \cdots &+\gamma_{m2}Y_{tm}&+\beta_{12}X_{t1}+\beta_{22}X_{t2} &+\cdots+\beta_{k2}X_{tk} &+\varepsilon_{t2}\\ & \vdots &\vdots &&\vdots &&\vdots \\ Y_{tm}&=&\gamma_{1m}Y_{t1}&+\gamma_{2m}Y_{t2}+& \cdots & &+\beta_{1m}X_{t1} +\beta_{2m}X_{t2} &+\cdots+\beta_{km}X_{tk} &+\varepsilon_{tm} \end{alignat} \end{cases} \]
Endogenous variables:
Predetermined variables:
Predetermined variables: Variables which values are not determined by the model in the current time period, including:
the exogenous variables
the lagged endogenous variables.
\[ \begin{cases} \begin{alignat}{5} Y_{t1}&= & &+\gamma_{21}Y_{t2}+&\cdots &+\gamma_{m1}Y_{tm} & +\beta_{11}X_{1t}+\beta_{21}X_{t2} &+\cdots+\beta_{k1}X_{tk} &+\varepsilon_{t1} \\ Y_{t2}&=&\gamma_{12}Y_{t1} &+ & \cdots &+\gamma_{m2}Y_{tm}&+\beta_{12}X_{t1}+\beta_{22}X_{t2} &+\cdots+\beta_{k2}X_{tk} &+\varepsilon_{t2}\\ & \vdots &\vdots &&\vdots &&\vdots \\ Y_{tm}&=&\gamma_{1m}Y_{t1}&+\gamma_{2m}Y_{t2}+& \cdots & &+\beta_{1m}X_{t1} +\beta_{2m}X_{t2} &+\cdots+\beta_{km}X_{tk} &+\varepsilon_{tm} \end{alignat} \end{cases} \]
Exogenous variables: The variables not determined by the model, neither in the current period nor in the lagged period.
Lagged endogenous variables: The lag variable of the endogenous variable in the current period。
current period exogenous: - \(X_{t1}, X_{t2},\cdots, X_{tk}\) .
lagged period exdogenous: - lagged from \(X_{t1}\) : \(X_{t-1,1}; X_{t-2,1};\cdots; X_{t-(T-1),1}\) - and lagged from \(X_{tk}\) : \(X_{t-1,k}; X_{t-2,k};\cdots; X_{t-(T-1),k}\) - \(\cdots\)
lagged endogenous: - lagged from \(Y_{t1}\) : \(Y_{t-1,1}; Y_{t-2,1}; \cdots, Y_{t-(T-1),1}\) - and lagged from \(Y_{tm}\) : \(Y_{t-1,m}; Y_{t-2,m}; \cdots;Y_{t-(T-1),m}\) - \(\cdots\)
Predetermined coefficients: coefficients before predetermined variables.
\[ \begin{cases} \begin{alignat}{5} Y_{t1}&= & &+\gamma_{21}Y_{t2}+&\cdots &+\gamma_{m1}Y_{tm} & +\beta_{11}X_{1t}+\beta_{21}X_{t2} &+\cdots+\beta_{k1}X_{tk} &+\varepsilon_{t1} \\ Y_{t2}&=&\gamma_{12}Y_{t1} &+ & \cdots &+\gamma_{m2}Y_{tm}&+\beta_{12}X_{t1}+\beta_{22}X_{t2} &+\cdots+\beta_{k2}X_{tk} &+\varepsilon_{t2}\\ & \vdots &\vdots &&\vdots &&\vdots \\ Y_{tm}&=&\gamma_{1m}Y_{t1}&+\gamma_{2m}Y_{t2}+& \cdots & &+\beta_{1m}X_{t1} +\beta_{2m}X_{t2} &+\cdots+\beta_{km}X_{tk} &+\varepsilon_{tm} \end{alignat} \end{cases} \]
Such as: \(\beta_{11}, \beta_{21},\cdots, \beta_{12}; \cdots; \beta_{k2}, \beta_{1m},\cdots, \beta_{km}\)
By simple transformation, the algebraic expression of SEM can also show as:
\[ A: \begin{cases} \begin{alignat}{5} Y_{t1}&= & &+\gamma_{21}Y_{t2}+&\cdots &+\gamma_{m1}Y_{tm} & +\beta_{11}X_{1t}+\beta_{21}X_{t2} &+\cdots+\beta_{k1}X_{tk} &+\varepsilon_{t1} \\ Y_{t2}&=&\gamma_{12}Y_{t1} &+ & \cdots &+\gamma_{m2}Y_{tm}&+\beta_{12}X_{t1}+\beta_{22}X_{t2} &+\cdots+\beta_{k2}X_{tk} &+\varepsilon_{t2}\\ & \vdots &\vdots &&\vdots &&\vdots \\ Y_{tm}&=&\gamma_{1m}Y_{t1}&+\gamma_{2m}Y_{t2}+& \cdots & &+\beta_{1m}X_{t1} +\beta_{2m}X_{t2} &+\cdots+\beta_{km}X_{tk} &+\varepsilon_{tm} \end{alignat} \end{cases} \]
\[ B: \begin{cases} \begin{alignat}{5} \gamma_{11}Y_{t1} &+ \gamma_{21}Y_{t2}&+\cdots &+\gamma_{m-1,1}Y_{t,m-1} &+\gamma_{m1}Y_{tm} & +\beta_{11}X_{t1}+\beta_{21}X_{t2} &+\cdots+\beta_{k1}X_{tk} &=\varepsilon_{t1} \\ \gamma_{12}Y_{t1} &+\gamma_{22}Y_{t2} &+ \cdots&+\gamma_{m-1,2}Y_{t,m-1} &+\gamma_{m2}Y_{tm}&+\beta_{12}X_{t1}+\beta_{22}X_{t2} &+\cdots+\beta_{k2}X_{tk} &= \varepsilon_{t2}\\ & \vdots &\vdots &&\vdots &&\vdots \\ \gamma_{1m}Y_{t1}&+\gamma_{2m}Y_{t2}&+ \cdots &+\gamma_{m-1,m}Y_{t,m-1} & +\gamma_{mm}Y_{tm} &+\beta_{1m}X_{t1} +\beta_{2m}X_{t2} &+\cdots+\beta_{km}X_{tk} &=\varepsilon_{tm} \end{alignat} \end{cases} \]
With the Matrix language, the matrix expression of SEM was noted as:
\[ \begin{equation} \begin{bmatrix} Y_1 & Y_2 & \cdots & Y_m \\ \end{bmatrix} _t \begin{bmatrix} \gamma_{11} & \gamma_{12} & \cdots & \gamma_{1m} \\ \gamma_{21} & \gamma_{22} & \cdots & \gamma_{2m} \\ \cdots & \cdots & \cdots & \cdots \\ \gamma_{m1} & \gamma_{m2} & \cdots & \gamma_{mm} \\ \end{bmatrix} + \\ \begin{bmatrix} X_1 & X_2 & \cdots & X_m \\ \end{bmatrix} _t \begin{bmatrix} \beta_{11} & \beta_{12} & \cdots & \beta_{1m} \\ \beta_{21} & \beta_{22} & \cdots & \beta_{2m} \\ \cdots & \cdots & \cdots & \cdots\\ \beta_{k1} & \beta_{k2} & \cdots & \beta_{km} \\ \end{bmatrix} \\ = \begin{bmatrix} \varepsilon_1 & \varepsilon_2 & \cdots & \varepsilon_m \\ \end{bmatrix} _t \end{equation} \]
For Simplicity, we can generized the matrix expression of SEM :
\[ \begin{aligned} & \boldsymbol{y^{\prime}_t} \boldsymbol{\Gamma} &+ & \boldsymbol{x^{\prime}_t} \boldsymbol{B} &= & \boldsymbol{{\varepsilon^{\prime}_t}} \\ &(1 \ast m)(m \ast m) & & (1 \ast k)(k \ast m) & & (1 \ast m) \end{aligned} \]
where:
Bold upper letter and greek means a matrix
Bold lower letter and greek means a column vector
For the Endogenous parameter matrix \(\boldsymbol{\Gamma}\) , To ensure that each equation has a dependent variable, then the matrix \(\boldsymbol{\Gamma}\) each column has at least one element of 1
\[ \begin{equation} \boldsymbol{\Gamma} = \begin{bmatrix} \gamma_{11} & \gamma_{12} & \cdots & \gamma_{1m} \\ \gamma_{21} & \gamma_{22} & \cdots & \gamma_{2m} \\ \cdots & \cdots & \cdots & \cdots \\ \gamma_{m1} & \gamma_{m2} & \cdots & \gamma_{mm} \\ \end{bmatrix} \\ \text{if }\Rightarrow \begin{bmatrix} \gamma_{11} & \gamma_{12} & \cdots & \gamma_{1m} \\ 0 & \gamma_{22} & \cdots & \gamma_{2m} \\ \cdots & \cdots & \cdots & \cdots \\ 0 & 0 & \cdots & \gamma_{mm} \\ \end{bmatrix} \end{equation} \]
\[ \begin{cases} \begin{aligned} y_{1t} &=& f_{1}\left(\mathbf{x}_{t}\right)+\varepsilon_{t1} \\ y_{2t} &=& f_{2}\left(y_{t1}, \mathbf{x}_{t}\right)+\varepsilon_{t2} \\ & \vdots & \vdots \\ y_{mt} &=& f_{m}\left(y_{t1}, y_{t2}, \ldots, \mathbf{x}_{t}\right)+\varepsilon_{mt} \end{aligned} \end{cases} \]
If matrix \(\boldsymbol{\Gamma}\) is upper triangular matrix, then the SEM is a recursive model system.
For the SEM solution to exist, \(\boldsymbol{\Gamma}\) must be nonsingular.
The Exogenous coefficients matrix \(\boldsymbol{B}\) :
\[ \begin{equation} \boldsymbol{B} = \begin{bmatrix} \beta_{11} & \beta_{12} & \cdots & \beta_{1m} \\ \beta_{21} & \beta_{22} & \cdots & \beta_{2m} \\ \cdots & \cdots & \cdots & \cdots\\ \beta_{k1} & \beta_{k2} & \cdots & \beta_{km} \\ \end{bmatrix} \end{equation} \]
Reduced equations: The equation expresses an endogenous variable with all the predetermined variables and the stochastic disturbances.
\[ \begin{cases} \begin{alignat}{5} Y_{t1}&= & +\pi_{11}X_{t1}+\pi_{21}X_{t2} &+\cdots+\pi_{k1}X_{tk} & + v_{t1} \\ Y_{t2}&=&+\pi_{12}X_{t1}+\pi_{22}X_{t2} &+\cdots+\pi_{k2}X_{tk} & + v_{t2}\\ & \vdots &\vdots &&\vdots & \\ Y_{tm}&=&+\pi_{1m}X_{t1} +\pi_{2m}X_{t2} &+\cdots+\pi_{km}X_{tk} & + v_{tm} \end{alignat} \end{cases} \]
Reduced coefficients: parameters in the reduced SEM.
Reduced disturbance: stochastic disturbance terms in the reduced SEM.
\[ \begin{cases} \begin{alignat}{5} Y_{t1}&= & +\pi_{11}X_{t1}+\pi_{21}X_{t2} &+\cdots+\pi_{k1}X_{tk} & + v_{t1} \\ Y_{t2}&=&+\pi_{12}X_{t1}+\pi_{22}X_{t2} &+\cdots+\pi_{k2}X_{tk} & + v_{t2}\\ & \vdots &\vdots &&\vdots & \\ Y_{tm}&=&+\pi_{1m}X_{t1} +\pi_{2m}X_{t2} &+\cdots+\pi_{km}X_{tk} & + v_{tm} \end{alignat} \end{cases} \]
Reduced coefficients: - \(\pi_{11},\pi_{21},\cdots, \pi_{k1}\) - \(\pi_{1m},\pi_{2m},\cdots, \pi_{km}\) .
Reduced disturbance: - \(v_{1},v_2,\cdots, v_m\) 。
\[ \begin{cases} \begin{alignat}{5} Y_{t1}&= & +\pi_{11}X_{t1}+\pi_{21}X_{t2} &+\cdots+\pi_{k1}X_{tk} & + v_{t1} \\ Y_{t2}&=&+\pi_{12}X_{t1}+\pi_{22}X_{t2} &+\cdots+\pi_{k2}X_{tk} & + v_{t2}\\ & \vdots &\vdots &&\vdots & \\ Y_{tm}&=&+\pi_{1m}X_{t1} +\pi_{2m}X_{t2} &+\cdots+\pi_{km}X_{tk} & + v_{tm} \end{alignat} \end{cases} \]
For this algebraic reduced SEM, we can note its matrix form as:
\[ \begin{equation} \begin{bmatrix} Y_1 & Y_2 & \cdots & Y_m \\ \end{bmatrix} _t = \\ \begin{bmatrix} X_1 & X_2 & \cdots & X_m \\ \end{bmatrix} _t \begin{bmatrix} \pi_{11} & \pi_{12} & \cdots & \pi_{1m} \\ \pi_{21} & \pi_{22} & \cdots & \pi_{2m} \\ \cdots & \cdots & \cdots & \cdots \\ \pi_{m1} & \pi_{m2} & \cdots & \pi_{mm} \\ \end{bmatrix} + \begin{bmatrix} v_1 & v_2 & \cdots & v_m \\ \end{bmatrix} _t \end{equation} \]
For simplicity, the matrix expression of reduced SEM can be noted further.
\[ \begin{aligned} & \boldsymbol{y^{\prime}_t} & = &\boldsymbol{x^{\prime}_t} \boldsymbol{\Pi} & + & \boldsymbol{{v^{\prime}_t}} \\ &(1 \ast m) & & (1 \ast k)(k \ast m) & & (1 \ast m) \end{aligned} \]
\[ \begin{equation} \boldsymbol{\Pi} = \begin{bmatrix} \pi_{11} & \pi_{12} & \cdots & \pi_{1m} \\ \pi_{21} & \pi_{22} & \cdots & \pi_{2m} \\ \cdots & \cdots & \cdots & \cdots \\ \pi_{m1} & \pi_{m2} & \cdots & \pi_{mm} \\ \end{bmatrix} \end{equation} \]
\[ \begin{equation} \boldsymbol{{v^{\prime}_t}}= \begin{bmatrix} v_1 & v_2 & \cdots & v_m \\ \end{bmatrix}_t \end{equation} \]
We can induce Reduced Equations from Structural Equations:
\[ \begin{cases} \begin{alignat}{5} Y_{t1}&= & &+\gamma_{21}Y_{t2}+&\cdots &+\gamma_{m1}Y_{tm} & +\beta_{11}X_{1t}+\beta_{21}X_{t2} &+\cdots+\beta_{k1}X_{tk} &+\varepsilon_{t1} \\ Y_{t2}&=&\gamma_{12}Y_{t1} &+ & \cdots &+\gamma_{m2}Y_{tm}&+\beta_{12}X_{t1}+\beta_{22}X_{t2} &+\cdots+\beta_{k2}X_{tk} &+\varepsilon_{t2}\\ & \vdots &\vdots &&\vdots &&\vdots \\ Y_{tm}&=&\gamma_{1m}Y_{t1}&+\gamma_{2m}Y_{t2}+& \cdots & &+\beta_{1m}X_{t1} +\beta_{2m}X_{t2} &+\cdots+\beta_{km}X_{tk} &+\varepsilon_{tm} \end{alignat} \end{cases} \]
\[ \Rightarrow\begin{cases} \begin{alignat}{5} Y_{t1}&= & +\pi_{11}X_{t1}+\pi_{21}X_{t2} &+\cdots+\pi_{k1}X_{tk} & + v_{t1} \\ Y_{t2}&=&+\pi_{12}X_{t1}+\pi_{22}X_{t2} &+\cdots+\pi_{k2}X_{tk} & + v_{t2}\\ & \vdots &\vdots &&\vdots & \\ Y_{tm}&=&+\pi_{1m}X_{t1} +\pi_{2m}X_{t2} &+\cdots+\pi_{km}X_{tk} & + v_{tm} \end{alignat} \end{cases} \]
The Structural SEM :
\[ \begin{aligned} \boldsymbol{y^{\prime}_t} \boldsymbol{\Gamma} + \boldsymbol{x^{\prime}_t} \boldsymbol{B} = \boldsymbol{{\varepsilon^{\prime}_t}} \end{aligned} \]
The Reduced SEM:
\[ \begin{aligned} \boldsymbol{y^{\prime}_t} = \boldsymbol{x^{\prime}_t} \boldsymbol{\Pi} + \boldsymbol{{v^{\prime}_t}} \end{aligned} \]
\[ \begin{align} \boldsymbol{\Pi} &= - \boldsymbol{B} \boldsymbol{\Gamma^{-1}}\\ \boldsymbol{{v^{\prime}_t}} &= \boldsymbol{{\varepsilon^{\prime}_t}} \boldsymbol{\Gamma}^{-1} \end{align} \]
\[ \begin{equation} \boldsymbol{\Gamma} = \begin{bmatrix} \gamma_{11} & \gamma_{12} & \cdots & \gamma_{1m} \\ \gamma_{21} & \gamma_{22} & \cdots & \gamma_{2m} \\ \cdots & \cdots & \cdots & \cdots \\ \gamma_{m1} & \gamma_{m2} & \cdots & \gamma_{mm} \\ \end{bmatrix} \end{equation} \]
Now we concern the first and second moments of the disturbance:
\[ \begin{align} \mathbf{E[\varepsilon_t | x_t]} &= \mathbf{0} \\ \mathbf{E[\varepsilon_t \varepsilon^{\prime}_t |x_t]} &= \mathbf{\Sigma} \\ E\left[\boldsymbol{\varepsilon}_{t} \boldsymbol{\varepsilon}_{s}^{\prime} | \mathbf{x}_{t}, \mathbf{x}_{s}\right] &=\mathbf{0}, \quad \forall t, s \end{align} \]
\[ \begin{align} E\left[\mathbf{v}_{t} | \mathbf{x}_{t}\right] &=\left(\mathbf{\Gamma}^{-1}\right)^{\prime} \mathbf{0}=\mathbf{0} \\ E\left[\mathbf{v}_{t} \mathbf{v}_{t}^{\prime} | \mathbf{x}_{t}\right] &=\left(\mathbf{\Gamma}^{-1}\right)^{\prime} \mathbf{\Sigma} \mathbf{\Gamma}^{-1}=\mathbf{\Omega} \\ \text{where: }\mathbf{\Sigma} &=\mathbf{\Gamma}^{\prime} \mathbf{\Omega} \mathbf{\Gamma} \end{align} \]
In a sample of data, each joint observation will be one row in a data matrix ( with \(T\) observations):
\[ \begin{align} \left[\begin{array}{lll}{\mathbf{Y}} & {\mathbf{X}} & {\mathbf{E}}\end{array}\right]=\left[\begin{array}{ccc}{\mathbf{y}_{1}^{\prime}} & {\mathbf{x}_{1}^{\prime}} & {\boldsymbol{\varepsilon}_{1}^{\prime}} \\ {\mathbf{y}_{2}^{\prime}} & {\mathbf{x}_{2}^{\prime}} & {\boldsymbol{\varepsilon}_{2}^{\prime}} \\ {\vdots} & {} \\ {\mathbf{y}_{T}^{\prime}} & {\mathbf{x}_{T}^{\prime}} & {\boldsymbol{\varepsilon}_{T}^{\prime}}\end{array}\right] \end{align} \]
then the structural SEM is:
\[ \begin{align} \mathbf{Y} \mathbf{\Gamma}+\mathbf{X} \mathbf{B}=\mathbf{E} \end{align} \]
the first and second moment of structural disturbances is:
\[ \begin{align} E[\mathbf{E} | \mathbf{X}] &=\mathbf{0} \\ E\left[(1 / T) \mathbf{E}^{\prime} \mathbf{E} | \mathbf{X}\right] &=\mathbf{\Sigma} \end{align} \]
Assume that:
\[ \begin{align} (1 / T) \mathbf{X}^{\prime} \mathbf{X} & \rightarrow \mathbf{Q} \text{ ( a finite positive definite matrix)} \\ (1 / T) \mathbf{X}^{\prime} \mathbf{E} & \rightarrow \mathbf{0} \end{align} \]
then the reduced SEM can be noted as:
\[ \begin{align} \mathbf{Y} & =\mathbf{X} \boldsymbol{\Pi}+\mathbf{V} && \leftarrow \mathbf{V}=\mathbf{E} \mathbf{\Gamma}^{-1} \end{align} \]
And we may have following useful results:
\[ \begin{align} \frac{1}{T} \begin{bmatrix} {\mathbf{Y}^{\prime}} \\ {\mathbf{X}^{\prime}} \\ {\mathbf{V}^{\prime}} \end{bmatrix} \begin{bmatrix} {\mathbf{Y}} & {\mathbf{X}} & {\mathbf{V}} \end{bmatrix} \quad \rightarrow \quad \begin{bmatrix} {\mathbf{I}^{\prime} \mathbf{Q} \mathbf{I}+\mathbf{\Omega}} & {\mathbf{I} \mathbf{I}^{\prime} \mathbf{Q}} & {\mathbf{\Omega}} \\ {\mathbf{Q} \mathbf{I}} & {\mathbf{Q}} & {\mathbf{0}^{\prime}} \\ {\mathbf{\Omega}} & {\mathbf{0}} & {\mathbf{\Omega}} \end{bmatrix} \end{align} \]
The Keynesian model of income determination (structural SEM):
\[ \begin{cases} \begin{align} C_t &= \beta_0+\beta_1Y_t+\varepsilon_t &&\text{(consumption function)}\\ Y_t &= C_t+I_t &&\text{(income equity)} \end{align} \end{cases} \]
So the structural SEM contains:
2 endogenous variables: - \(c_t;Y_t\)
1 predetermined variables:
1 exogenous variables: \(I_t\)
0 lagged endogenous variable.
Exercise: can you get the reduced SEM from this structural SEM ?
We can get the reduced SEM from the former structural SEM and denoted (the right):
\[ \begin{cases} \begin{align} Y_t &=\frac{\beta_0}{1-\beta_1}+\frac{1}{1-\beta_1}I_t+\frac{\varepsilon_t}{1-\beta_1} \\ C_t &=\frac{\beta_0}{1-\beta_1}+\frac{\beta_1}{1-\beta_1}I_t+\frac{\varepsilon_t}{1-\beta_1} \end{align} \end{cases} \]
\[ \begin{cases} \begin{align} Y_t &= \pi_{11}+\pi_{21}I_t+v_{t1} \\ C_t &= \pi_{12}+\pi_{22}I_t+v_{t2} \end{align} \end{cases} \]
where:
\[ \begin{cases} \begin{alignat}{5} && \pi_{11} = \frac{\beta_0}{1-\beta_1}; \quad && \pi_{21} = \frac{\beta_0}{1-\beta_1}; \quad && v_{t1} = \frac{\varepsilon_t}{1-\beta_1};\\ && \pi_{12} = \frac{1}{1-\beta_1} ; \quad && \pi_{22} = \frac{\beta_1}{1-\beta_1} ; \quad && v_{t2} = \frac{\varepsilon_t}{1-\beta_1}; \end{alignat} \end{cases} \]
there are 2 structural coefficients \(\beta_0;\beta_1\) totally ; and 4 reduced coefficients \(\pi_{11},\pi_{21};\pi_{12},\pi_{22}\) (There are actually three only !)
Consider the Small Macroeconomic Model (Structural SEM):
\[ \begin{cases} \begin{aligned} \text { consumption: } c_{t} &=\alpha_{0}+\alpha_{1} y_{t}+\alpha_{2} c_{t-1}+\varepsilon_{t, c} \\ \text { investment: } i_{t} &=\beta_{0}+\beta_{1} r_{t}+\beta_{2}\left(y_{t}-y_{t-1}\right)+\varepsilon_{t, j} \\ \text { demand: } y_{t} &=c_{t}+i_{t}+g_{t} \end{aligned} \end{cases} \]
where: \(c_t =\) consumption; \(y_t =\) output; \(i_t =\) investment; \(r_t =\) rate; \(g_t =\) government expenditure.
3 endogenous variables: \(c_t;i_t;Y_t\)
4 predetermined variables:
totally 6 strutural coefficients: \(\alpha_0,\alpha_1,\alpha_2;\beta_0,\beta_1,\beta_2;\)
We can get the reduced SEM from the former structural SEM: (HOW TO??)
\[ \begin{cases} \begin{align} c_{t} = & [{\alpha_{0}}{\left(1-\beta_{2}\right)}+\beta_{0} \alpha_{1}+\alpha_{1} \beta_{1} r_{t}+\alpha_{1} g_{t}+\alpha_{2}\left(1-\beta_{2}\right) c_{t-1}-\alpha_{1} \beta_{2} y_{t-1} \\ +&\left(1-\beta_{2}\right) \varepsilon_{t, c}+\alpha_{1} \varepsilon_{t, j}] /{\Lambda} \\ i_{t} = & [\alpha_{0} \beta_{2}+\beta_{0}\left(1-\alpha_{1}\right)+\beta_{1}\left(1-\alpha_{1}\right) r_{t}+\beta_{2} g_{t}+\alpha_{2} \beta_{2} c_{t-1}-\beta_{2}\left(1-\alpha_{1}\right) y_{t-1} \\ +&\beta_{2} \varepsilon_{t, c}+\left(1-\alpha_{1}\right) \varepsilon_{t, j}]/{\Lambda} \\ y_{t} = & [\alpha_{0}+\beta_{0}+\beta_{1} r_{t}+g_{t}+\alpha_{2} c_{t-1}-\beta_{2} y_{t-1} +\varepsilon_{t, c}+\varepsilon_{t, j}] /{\Lambda} \end{align} \end{cases} \]
where: \(\Lambda = 1- \alpha_1 -\beta_2\) 。For simplicity, denote the reduced SEM as:
\[ \begin{cases} \begin{aligned} c_{t} & = \pi_{11} +\pi_{21}r_t +\pi_{31}g_t +\pi_{41}c_{t-1} +\pi_{51}y_{t-1} +v_{t1} \\ i_{t} & = \pi_{12} +\pi_{22}r_t +\pi_{32}g_t +\pi_{42}c_{t-1} +\pi_{52}y_{t-1} +v_{t2} \\ i_{t} & = \pi_{13} +\pi_{23}r_t +\pi_{33}g_t +\pi_{43}c_{t-1} +\pi_{53}y_{t-1} +v_{t3} \end{aligned} \end{cases} \]
So we have 15 reduced coefficients totally!
Thinking:
What are the purposes of structural SEM and reduced SEM respectively?
Note the consumption function (in structural SEM): the rate \(i_t\) does not impact the consumption \(c_t\) !
It will be obvious from the reduced SEM that \(\frac{\Delta c_t}{\Delta r_t} = \frac{\alpha_1 \beta_1}{\Lambda}\)
Note the consumption function (in structural SEM): What are the reasons for the impact of income \(y_t\) on consumption \(c_t\) ?
It’s also easy to get the answer by transformation: \(\frac{\Delta c_t}{ \Delta y_t} = \frac{\Delta c_t / \Delta r_t}{\Delta y_t / \Delta r_t} = \frac{\alpha_1 \beta_1 / \Lambda}{ \beta_1 / \Lambda} = \alpha_1\)
According to the relationship between Structural SEM and Reduced SEM:
\[ \begin{aligned} \boldsymbol{y^{\prime}_t} = &-\boldsymbol{x^{\prime}_t} \boldsymbol{\Pi} + \boldsymbol{{v^{\prime}_t}} = -\boldsymbol{x^{\prime}_t} \boldsymbol{B} \boldsymbol{\Gamma^{-1}} + \boldsymbol{{\varepsilon^{\prime}_t}} \boldsymbol{\Gamma}^{-1} \end{aligned} \]
Then, the following matrixes can be easily obtained:
\[ \begin{align} \mathbf{y}^{\prime} & = \begin{bmatrix} c & i & y \end{bmatrix}\\ \boldsymbol{x}^{\prime} & = \begin{bmatrix} 1 & r & g & c_{-1} & y_{-1} \end{bmatrix} \end{align} \]
\[ \begin{align} \mathbf{B}= \begin{bmatrix} {-\alpha_{0}} & {-\beta_{0}} & {0} \\ {0} & {-\beta_{1}} & {0} \\ {0} & {0} & {-1} \\ {-\alpha_{2}} & {0} & {0} \\ {0} & {\beta_{2}} & {0} \end{bmatrix} \end{align} \]
\[ \begin{align} \Gamma &= \begin{bmatrix} {1} & {0} & {-1} \\ {0} & {1} & {-1} \\ {-\alpha_{1}} & {-\beta_{2}} & {1} \end{bmatrix} \\ \mathbf{\Gamma}^{-1} &=\frac{1}{\Lambda} \begin{bmatrix} {1-\beta_{2}} & {\beta_{2}} & {1} \\ {\alpha_{1}} & {1-\alpha_{1}} & {1} \\ {\alpha_{1}} & {\beta_{2}} & {1} \end{bmatrix} \end{align} \]
We can get the same answers: (It’s so easy!)
\[ \begin{align} \boldsymbol{\Pi=-B\Gamma^{-1}}=\frac{1}{\Lambda} \begin{bmatrix} {\alpha_{0}\left(1-\beta_{2}\right)+\beta_{0} \alpha_{1}} & {\alpha_{0} \beta_{2}+\beta_{0}\left(1-\alpha_{1}\right)} & {\alpha_{0}+\beta_{0}} \\ {\alpha_{1} \beta_{1}} & {\beta_{1}\left(1-\alpha_{1}\right)} & \beta_1 \\ {\alpha_{1}} & {\beta_{2}} & 1 \\ {\alpha_{2}\left(1-\beta_{2}\right)}& {\alpha_{2} \beta_{2}} & \alpha_2\\ {-\beta_{2} \alpha_{1}} & {-\beta_{2}\left(1-\alpha_{1}\right)} &-\beta_2 \end{bmatrix} \end{align} \]
\[ \begin{align} \mathbf{\Pi}^{\prime}=\frac{1}{\Lambda} \begin{bmatrix} \alpha_{0}\left(1-\beta_{2}\right)+\beta_{0} \alpha_{1} & \alpha_{1} \beta_{1} & \alpha_{1} & \alpha_{2}\left(1-\beta_{2}\right) & -\beta_{2} \alpha_{1} \\ \alpha_{0} \beta_{2}+\beta_{0}\left(1-\alpha_{1}\right) & \beta_{1}\left(1-\alpha_{1}\right) & \beta_{2} & \alpha_{2} \beta_{2} & -\beta_{2}\left(1-\alpha_{1}\right) \\ \alpha_{0}+\beta_{0} & \beta_{1} & 1 & \alpha_{2} & -\beta_{2} \end{bmatrix} \end{align} \]
\[ \Lambda = 1- \alpha_1 -\beta_2 \]
\[ \begin{align} \mathbf{x}^{\prime} = \begin{bmatrix} 1 & r & g & c_{-1} & y_{-1} \end{bmatrix} \end{align} \]
Use the elementary row operation (Gauss-Jordan) to find the inverse matrix:
Construct augmented matrix
Transform the augmented matrix for many times until the goal is achieved.
Use cofactor, algebraic cofactor and adjoint matrix to get the inverse matrix:
Calculate cofactor matrix and algebraic cofactor matrix;
Calculate adjoint matrix: it is the transpose of the cofactor matrix;
Calculate the determinant of original matrix : each element of top row in the original matrix is multiplied by its corresponding top row element in the “cofactor matrix”;
Calculated the inverse matrix: 1/ determinant \(\times\) adjoint matrix
Consider Keynes’s model of income determination, We will be able to show that \(Y_t\) and \(u_t\) will be correlated, thus violating the CLRM A2 assumption.
\[ \begin{cases} \begin{align} C_t &= \beta_0+\beta_1Y_t+u_t &(0<\beta_1<1) &&\text{( consumption function)}\\ Y_t &= C_t+I_t & &&\text{(Income Identity)} \end{align} \end{cases} \]
By transforming the above structural equation, we obtained:
\[ \begin{align} Y_t &= \beta_0+\beta_1Y_t+ I_t +u_t \\ Y_t &= \frac{\beta_0}{1-\beta_1}+\frac{1}{1-\beta_1}I_t+\frac{1}{1-\beta_1}u_t && \text{(eq1: Reduced equation)}\\ E(Y_t)&=\frac{\beta_0}{1-\beta_1}+\frac{1}{1-\beta_1}I_t && \text{(eq2: Take the expectation for both sides)} \end{align} \]
Further more:
\[ \begin{align} Y_t - E(Y_t)& = \frac{u_t}{1-\beta_1} && \text{(eq 1 - eq 2)}\\ u_t-E(u_t) &= u_t && \text{(eq 3: Expectation is equal to 0)} \\ cov(Y_t,u_t) &= E([Y_t-E(Y_t)][u_t-E(u_t)]) && \text{(eq 4: Covariance definition)}\\ &=\frac{E(u^2_t)}{1-\beta_1} && \text{(eq 5: Variance definition)}\\ &=\frac{\sigma^2}{1-\beta_1}\neq 0 && \text{(eq 6: The variance is not 0)} \end{align} \]
Therefore, the consumption equation of the Keynesian model will not satisfy the CLRM A2 assumption.
Thus, OLS method cannot be used to obtain Best linear unbiased estimator (BLUE) for consumption equation.
Furthermore, the OLS estimator is biased to its true \(\beta_1\) , which means \(E(\hat{\beta}_1) \neq \beta_1\) . The proof show as below.
\[ \begin{cases} \begin{align} C_t &= \beta_0+\beta_1Y_t+u_t &(0<\beta_1<1) &&\text{( consumption function)}\\ Y_t &= C_t+I_t & &&\text{(Income Identity)} \end{align} \end{cases} \]
\[ \begin{align} \hat{\beta}_1 = \frac{\sum{c_ty_t}}{\sum{y^2_t}} = \frac{\sum{C_ty_t}}{\sum{y^2_t}} = \frac{\sum{\left [ (\beta_0+\beta_1Y_t+u_t)y_t \right ]}}{\sum{y^2_t}} = \beta_1 + \frac{\sum{u_ty_t}}{\sum{y^2_t}} && \text{(eq 1)} \end{align} \]
Take the expectation of both sides in eq 1, so:
\[ \begin{align} E(\hat{\beta}_1) &= \beta_1 + E \left ( \frac{\sum{u_ty_t}}{\sum{y^2_t}} \right ) \end{align} \]
Question: is the expactation \(E\left (\frac {\sum {u_ty_t}} {\sum {y^2_t}} \right)\) equal to zero?
\[ \begin{align} \frac{\sum{c_ty_t}}{\sum{y^2_t}} &= \frac{\sum{(C_t-\bar{C})(Y_t - \bar{Y})}}{\sum{y^2_t}} = \frac{\sum{(C_t-\bar{C})y_t}}{\sum{y^2_t}} \\ & =\frac{\sum{C_ty_t}-\sum{\bar{C}y_t}}{\sum{y^2_t}} =\frac{\sum{C_ty_t}-\sum{\bar{C}(Y_t- \bar{Y})}}{\sum{y^2_t}} \\ & = \frac{\sum{C_ty_t}-\bar{C}\sum{Y_t}- \sum{\bar{C}\bar{Y}}}{\sum{y^2_t}} = \frac{\sum{C_ty_t}-\bar{C}\sum{Y_t}- n{\bar{C}\bar{Y}}}{\sum{y^2_t}} = \frac{\sum{C_ty_t}}{\sum{y^2_t}} \end{align} \]
\[ \begin{align} \hat{\beta_1} & = \frac{\sum\left(\beta_{0}+\beta_{1} Y_{t}+u_{t}\right) y_{t}}{\sum y_{t}^{2}} = \frac{\sum{\beta_{0}y_t} +\sum{\beta_1Y_ty_t}+\sum{u_{t}y_t} }{\sum y_{t}^{2}} \\ & = \frac{\beta_1\sum{(y_t+\bar{Y})y_t}+\sum{u_{t}y_t} }{\sum y_{t}^{2}} =\beta_{1}+\frac{\sum y_{t} u_{t}}{\sum y_{t}^{2}} \end{align} \]
\[ \begin{align} \Leftarrow &\sum{y_t} =0 ; && \frac{\sum{Y_ty_t}}{y^2_t} = 1 \end{align} \]
Conduct the limit to probability:
\[ \begin{align} \operatorname{plim}\left(\hat{\beta}_{1}\right) &=\operatorname{plim}\left(\beta_{1}\right)+\operatorname{plim}\left(\frac{\sum y_{t} u_{t}}{\sum y_{t}^{2}}\right) \\ &=\operatorname{plim}\left(\beta_{1}\right)+\operatorname{plim}\left(\frac{\sum y_{t} u_{t} / n}{\sum y_{t}^{2} / n}\right) =\beta_{1}+\frac{\operatorname{plim}\left(\sum y_{t} u_{t} / n\right)}{\operatorname{plim}\left(\sum y_{t}^{2} / n\right)} \end{align} \]
And we’ve shown that:
\[ \begin{align} cov(Y_t,u_t) &= E([Y_t-E(Y_t)][u_t-E(u_t)]) =\frac{E(u^2_t)}{1-\beta_1} =\frac{\sigma^2}{1-\beta_1}\neq 0 \end{align} \]
Therefore we finaly prove: \(E \left ( \frac{\sum{u_ty_t}}{\sum{y^2_t}} \right ) \neq 0\)
Here, we construct an artificially controlled population for our Keynes’s SEM model.
\[ \begin{cases} \begin{align} C_t &= \beta_0+\beta_1Y_t+u_t &(0<\beta_1<1) &&\text{(consumption function)}\\ Y_t &= C_t+I_t & &&\text{(Income Identity)} \end{align} \end{cases} \]
\[ \begin{cases} \begin{align} C_t &= 2+ 0.8Y_t+u_t &(0<\beta_1<1) &&\text{(consumption function)}\\ Y_t &= C_t+I_t & &&\text{(Income Identity)} \end{align} \end{cases} \]
The artificially controlled population is set to:
The simulation data under given conditions are:
According to the above formula, the regression coefficient can be calculated as follows:
Easy to calculate: \(\sum{u_ty_t}\) =3.8000
And: \(\sum{y^2_t}\) =184.0000
And: \(\frac{\sum{u_ty_t}}{\sum{y^2_t}}\) =0.0207
Hence: \(\hat{\beta}_1 = \beta_1 + \frac{\sum{u_ty_t}}{\sum{y^2_t}}\) =0.8+0.0207= 0.8207
This also means that \(\hat{\beta_1}\) is different from \(\beta_1=0.8\) , and the differnce is 0.0207.
Next, we used the simulated data for R analysis to obtain the original OLS report.
Call:
lm(formula = mod_monte$mod.C, data = monte)
Residuals:
Min 1Q Median 3Q Max
-0.27001 -0.15855 -0.00126 0.09268 0.46310
Coefficients:
Estimate Std. Error t value Pr(>|t|)
(Intercept) 1.49402 0.35413 4.219 0.000516 ***
Y 0.82065 0.01434 57.209 < 2e-16 ***
---
Signif. codes: 0 '***' 0.001 '**' 0.01 '*' 0.05 '.' 0.1 ' ' 1
Residual standard error: 0.1946 on 18 degrees of freedom
Multiple R-squared: 0.9945, Adjusted R-squared: 0.9942
F-statistic: 3273 on 1 and 18 DF, p-value: < 2.2e-16
The tidy report of OLS estimation shows below.
\[ \begin{alignedat}{999} \begin{split} &\widehat{C}=&&+1.49&&+0.82Y_i\\ &(s)&&(0.3541)&&(0.0143)\\ &(t)&&(+4.22)&&(+57.21)\\ &(fit)&&R^2=0.9945&&\bar{R}^2=0.9942\\ &(Ftest)&&F^*=3272.87&&p=0.0000 \end{split} \end{alignedat} \]
\[ \begin{alignedat}{999} &\widehat{C}=&&+1.49&&+0.82Y\\ &\text{(t)}&&(4.2188)&&(57.2090)\\ &\text{(se)}&&(0.3541)&&(0.0143)\\ &\text{(fitness)}&& n=20;&& R^2=0.9945;&& \bar{R^2}=0.9942\\ & && F^{\ast}=3272.87;&& p=0.0000\\ \end{alignedat} \]
So let’s summarize this chapter.
Compared with the single-equation model, the SEM involves more than one dependent or endogenous variable. So there must be as many equations as endogenous variables.
SEM always show that the endogenous variables are correlated with stochastic terms in other equations.
Classical OLS may not be appropriate because the estimators are inconsistent.

Chapter 18. Why Should We Concern SEM?